الجسيمة وضديدها Particle and its antiparticle
المؤلف:
سعد ناجي عبود
المصدر:
مقدمة في فيزياء الطاقة العالية والاشعاع الكوني
الجزء والصفحة:
ص9–10
2023-11-13
1673
الجسيمة وضديدها جسيمتان لهما نفس الكتلة، والزخم البرمي spin والزخم الأيزوباري isospin، ولكنهما تختلفان عن بعضهما بالشحنة والعزم المغناطيسي والمركبة الثالثة للزخم الأيزوباري وصفات أخرى ستذكر مستقبلا. يرمز لضديد الجسيمة بنفس رمز الجسيمة مع وضع خط عليه أو قد يستعاض عنه بتغيير الشحنة المذكورة على الرمز. فمثلا البروتون p وضديده p̅، والنيوترون n وضديده n̅ والنيوترينيو v وضديده v̅، الإلكترون e̅ وضديده e+ والبايون الموجب +π وضديده البايون السالب π̅ والكايون السالب K̅ وضديده الكايون الموجب K+ والكايون المتعادل K0 وضديده K0- وهناك جسيمات هي نفسها تمثل أضدادها مثل الفوتون γ وجسيمة الكرافيتون g (غير المكتشف لحد الآن)، 0π، 0η، 0ω. ولقد أفترض وجود أضداد الجسيمات قبل اكتشافها أو مشاهدتها وتنبأ ديراك (Dirac) بوجودها نظريا لأن وجودها ضرورة تقتضيها قوانين النظرية النسبية وقوانين الميكانيك الكم. وأول ضديد يكتشف كان البوزترون e+ وكان ذلك في عام 1933 من قبل كارل أندرسون عندما كان يحلل الأشعة الكونية في غرفة الغيوم (cloud chamber) وفي عام 1955 أكتشف ضديد البروتون ثم بعدها أكتشف ضديد النيوترون.
ومن المهم أن نؤكد أن خلق جسيمة ما في تفاعل ما يكون مصحوبا بخلق ضديدها في آن واحد أو تخلق مع ضديد جسيمة أخرى، وحيث لا يمكن لأحدهما أن يخلق دون الآخر (من التجربة).

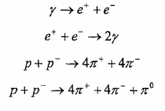
من ناحية أخرى عند التقاء جسيمة ما بضديدها فأنهما سيمحوان أحدهما الأخرى:

أن هاتين الظاهرتين خلق الجسيمة مع ضديدها ومحو أحدهما للأخرى قد أدت إلى ظهور بعض القوانين قانون حفظ أعداد الجسيمات الثقيلة (العدد الكمي الباريوني)، قانون حفظ أعداد الجسيمات الخفيفة (العدد الكمي اللبتوني)، قانون حفظ الغرابة.
الاكثر قراءة في فيزياء الجسيمات
اخر الاخبار
اخبار العتبة العباسية المقدسة