Simultaneity
المؤلف:
Richard Feynman, Robert Leighton and Matthew Sands
المصدر:
The Feynman Lectures on Physics
الجزء والصفحة:
Volume I, Chapter 15
2024-02-24
2072
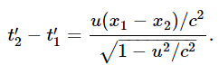
In an analogous way, because of the difference in time scales, the denominator expression is introduced into the fourth equation of the Lorentz transformation. The most interesting term in that equation is the ux/c2 in the numerator, because that is quite new and unexpected. Now what does that mean? If we look at the situation carefully, we see that events that occur at two separated places at the same time, as seen by Moe in S′, do not happen at the same time as viewed by Joe in S. If one event occurs at point x1 at time t0 and the other event at x2 and t0 (the same time), we find that the two corresponding times t′1 and t′2 differ by an amount

This circumstance is called “failure of simultaneity at a distance,” and to make the idea a little clearer let us consider the following experiment.
Suppose that a man moving in a space ship (system S′) has placed a clock at each end of the ship and is interested in making sure that the two clocks are in synchronism. How can the clocks be synchronized? There are many ways. One way, involving very little calculation, would be first to locate exactly the midpoint between the clocks. Then from this station we send out a light signal which will go both ways at the same speed and will arrive at both clocks, clearly, at the same time. This simultaneous arrival of the signals can be used to synchronize the clocks. Let us then suppose that the man in S′ synchronizes his clocks by this particular method. Let us see whether an observer in system S would agree that the two clocks are synchronous. The man in S′ has a right to believe they are, because he does not know that he is moving. But the man in S reasons that since the ship is moving forward, the clock in the front end was running away from the light signal, hence the light had to go more than halfway in order to catch up; the rear clock, however, was advancing to meet the light signal, so this distance was shorter. Therefore, the signal reached the rear clock first, although the man in S′
thought that the signals arrived simultaneously. We thus see that when a man in a space ship thinks the times at two locations are simultaneous, equal values of t′ in his coordinate system must correspond to different values of t in the other coordinate system!
الاكثر قراءة في مواضيع عامة في النظرية النسبية
اخر الاخبار
اخبار العتبة العباسية المقدسة