قانون حفظ التناظر
المؤلف:
سعد ناجي عبود
المصدر:
مقدمة في فيزياء الطاقة العالية والاشعاع الكوني
الجزء والصفحة:
ص41–43
2023-11-14
1580
أن صفة التناظر تشير إلى سلوك دالة الموجة الممثلة لحالة الجسيمة عند عكس إحداثيات الفضاء (x, -y, -z-)ψ = (x, y, z) لقد كان من المعتقد أن التناظر تحفظ في جميع التفاعلات، فحفظها في التفاعلات المختلفة تعني أن الطبيعة لا تفضل اتجاه على أخر، إلى أن أثير السؤال حول عدم حفظ التناظر في التفاعل الضعيف من قبل لي يانك (Lee–Yang) عام 1956 كتفسير لمشكلة الجسيمتان τ وθ وهاتان الجسيمتان عبارة عن جسيمتين متشابهتين في جميع خواصهما ما عدا التناظر، فالجسيمة θ تتحلل إلى بايونيين ولهما تناظر زوجي وجسيمة τ تتحلل إلى ثلاث بايونات ولها تناظر فردي:
فكان الحل لهذه المشكلة هو أن التناظر لا تحفظ (تخرق) في التفاعل الضعيف (في درجات الحرارة الواطئة وبحالة الاستقطاب) ولذا اعتبرت الجسيمتان τ وθ عبارة عن جسيمة k0 لها طوران من التحلل:
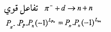
وعمليا يستدل على خرق حفظ التناظر في التفاعل الضعيف من انبعاث أحدى جسيمات التحلل في اتجاه معين وليس بشكل متناظر في جميع الاتجاهات وكمثال على ذلك انبعاث جسيمة –π باتجاه عند تحلل Ʌ0: –Ʌ0 → P + π. فعلية فأن التناظر يحفظ في التفاعلات القوية والتفاعلات الكهرومغناطيسية كما تدل على ذلك التجارب. وقد تم استنتاج أن تناظر البايونات فردية وذلك بتطبيق قانون حفظ التناظر على التفاعل القوي وكما في المثال الأتي:

تدل التجارب على أن الزخم الزاوي المداري للبروتون في الديترون يساوي صفر عندما يكون الديترون في الحالة الأرضية (0=LPn) وكذلك أن الزخم الزاوي المداري للبايون والديترون يساوي صفر (0 = πμL) أما الزخم المداري للحالة النهائية (1 = πμL)، باعتبار أن النيوترون هو فيرميون وبذلك يخضع لمبدأ الاستثناء لباولي وبالتالي لا يمكن لنيوترونين أن يكونا بنفس الحالة الكمية: ففي حالة 1 = πμS فان 1 = πμL ليصبح 0 = Jf

باعتبار البايونات بوزونات (–π– =–Pπ P) وتناظر البوزون يساوي تناظر الضديد.
الاكثر قراءة في فيزياء الجسيمات
اخر الاخبار
اخبار العتبة العباسية المقدسة