Logo
منذ 11 شهر   نشر في  ٢٠٢٥/٠٤/٢١ م
الجناح المائل للأمام (Forward-Swept Wing): الجناح المائل للأمام يختلف عن الأجنحة التقليدية في أنه يميل للأمام بدلاً من الخلف، مما يحسن المناورة عند السرعات المنخفضة بفضل التأثيرات الهوائية الخاصة. يؤدي هذا التصميم إلى تحسين توزيع الرفع عند الزوايا العالية للهجوم ويقلل من مقاومة السحب الناتجة عن انفصال التدفق الهوائي ومع ذلك، يتطلب هذا الجناح استخدام مواد قوية للغاية مثل الألياف الكربونية، لأنه يعاني من قوى التواء (aeroelasticity)قد تؤدي إلى فقدان الاستقرار الهيكلي إذا لم يُعالج بشكل مناسب.
قراءة كامل الموضوع read more
3 + 6 =
منذ 11 شهر   نشر في  ٢٠٢٥/٠٤/٢١ م
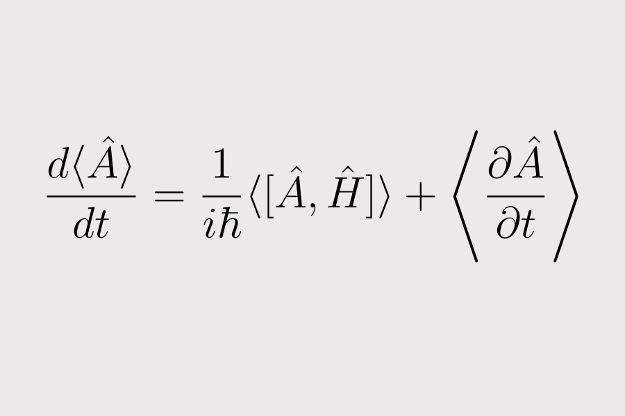
إذا كنت تسير بسرعة الضوء، فلن تتمكن من رؤية الضوء نفسه أمامك.
حسب النسبية الخاصة لأينشتاين، لا يمكن لجسم ذي كتلة أن يصل إلى سرعة الضوء لأن الزمن يتوقف والطول ينكمش إلى الصفر. الضوء لا يمكن أن يكون ساكنًا في أي إطار مرجعي، لذا لا يمكن أن تراه وكأنه "موجة ثابتة" أو يتحرك بجانبك. إدراك الضوء يتطلب فرقًا في السرعة، ومع انعدام هذا الفرق، يصبح إدراكه مستحيلًا فيزيائيًا.
قراءة كامل الموضوع read more
1 + 3 =
منذ 11 شهر   نشر في  ٢٠٢٥/٠٤/٢٠ م
الجناح البيضاوي يتميز بتوزيع مثالي لقوة الرفع، مما يقلل من السحب المستحث ويزيد كفاءة الطيران، خاصة بسرعات منخفضة. لكن عيوبه تشمل صعوبة التصنيع بسبب الشكل المعقد، وعيب خطير في الانهيار (stall)، حيث يحدث بشكل متزامن على طول الجناح، مما يؤدي إلى فقدان مفاجئ للسيطرة. لذا يُستخدم غالبًا تصميم معدل يجمع بين الكفاءة وسهولة التصنيع وتحسين خصائص الانهيار. يُستخدم الجناح البيضاوي بشكل رئيسي في الطائرات التي تتطلب كفاءة عالية في الطيران الانسيابي وسرعات منخفضة إلى متوسطة، مثل طائرات القتال القديمة
قراءة كامل الموضوع read more
1 + 4 =
2025/04/20م   منذ 11 شهر
(مثال: Supermarine Spitfire) والطائرات الرياضية الخفيفة. هذا التصميم يُفيد في تقليل السحب وتحسين الأداء الأيروديناميكي، لكنه غير شائع في الطائرات الحديثة التجارية بسبب صعوبة تصنيعه والتحكم عند الانهيار، حيث تُفضَّل تصاميم أكثر عملية وأسهل إنتاجًا. أعجبني
منذ 11 شهر   نشر في  ٢٠٢٥/٠٤/٢٠ م
الجناح المتغير يُستخدم في الطائرات لتعديل زاوية ميل الجناح أثناء الطيران، مما يُحسن الكفاءة الهوائية عبر نطاق واسع من السرعات. عند السرعات المنخفضة، يُمكن تعديل الجناح ليكون مستقيمًا، مما يزيد من الرفع ويُحسن القدرة على الإقلاع والهبوط. عند السرعات العالية، يُمكن تعديل الجناح ليكون مائلًا للخلف، مما يقلل من مقاومة الموجات الصوتية ويُحسن الكفاءة. هذا التعديل يُساعد في الحفاظ على الاستقرار والتحكم بالطائرة عبر مختلف مراحل الطيران.
واشهر مثال هو اجنحة الطائر غرومان إف-14 توم كات.
قراءة كامل الموضوع read more
6 + 8 =
منذ 11 شهر   نشر في  ٢٠٢٥/٠٤/٢٠ م
الجناح المائل للخلف (Swept Wing) يُستخدم في الطائرات عالية السرعة لتقليل مقاومة الموجات الهوائية (Wave Drag) عند الاقتراب من سرعة الصوت. من الناحية الفيزيائية، يُقلل الجناح المائل من المركبة الفعالة لسرعة الهواء العمودية على الحافة الأمامية، مما يؤخر تشكل موجات الصدمة (Shock Waves) ويزيد من الرقم ماخ الحرج. ومع ذلك، يؤدي هذا التصميم إلى توزيع غير متساوٍ للرفع على طول الجناح، مما قد يسبب انفصال التدفق الهوائي عند أطراف الجناح (Tip Stall) ويؤثر على استقرار الطائرة عند السرعات المنخفضة.
قراءة كامل الموضوع read more
5 + 8 =
منذ 11 شهر   نشر في  ٢٠٢٥/٠٤/٢٠ م
يعتمد الجناح الدلتا على ظاهرة تُعرف بـ"دوامات الحافة الأمامية" (Leading Edge Vortices)، والتي تتشكل فوق سطح الجناح عند الزوايا العالية للهجوم. هذه الدوامات تُولد ضغطًا منخفضًا إضافيًا يساهم في تعزيز الرفع، ما يمنح الطائرة القدرة على الطيران بزوايا هجوم كبيرة دون دخول حالة الانهيار (Stall). هذه الميزة تُستخدم بشكل خاص في المناورات القتالية للطائرات مثل Mirage 2000 و F-16XL، وتُعد من خصائص الديناميكا الهوائية غير الخطية.
قراءة كامل الموضوع read more
9 + 9 =
منذ 11 شهر   نشر في  ٢٠٢٥/٠٤/١٩ م
الجناح المستقيم (Straight Wing) يُستخدم غالبًا في الطائرات ذات السرعات المنخفضة، مثل طائرات التدريب والطائرات الخفيفة. يتميز هذا الجناح بزاوية هجوم ثابتة تقريبًا على طول الامتداد، مما يؤدي إلى توزيع متساوٍ للرفع. ومع ذلك، عند الزوايا العالية للهجوم، يمكن أن يحدث انفصال للتدفق الهوائي عند أطراف الجناح، مما يقلل من كفاءة الرفع ويزيد من مقاومة السحب. هذا التأثير يُعرف بـ"الانهيار الطرفي" (Tip Stall)، وقد يؤثر على استقرار الطائرة أثناء المناورات الحادة.
قراءة كامل الموضوع read more
5 + 6 =
منذ 11 شهر   نشر في  ٢٠٢٥/٠٤/١٩ م
طائرة Lockheed Ring Wing هي تصميم مفاهيمي مبتكر من شركة لوكهيد مارتن، يتميز بجناح دائري مغلق يحيط بجسم الطائرة. يهدف هذا التصميم إلى زيادة الكفاءة الهوائية وتقليل مقاومة السحب، ما يؤدي إلى خفض استهلاك الوقود وتحسين الأداء العام للطائرة. يشير النموذج إلى رؤية مستقبلية للطائرات التجارية، حيث يتم استغلال الشكل الحلقي لتعزيز الاستقرار وتقليل الانبعاثات الكربونية.
قراءة كامل الموضوع read more
5 + 1 =
منذ 11 شهر   نشر في  ٢٠٢٥/٠٤/١٧ م
صورة "Hubble eXtreme Deep Field" تُعد من أعمق الصور التي التُقطت للكون باستخدام تلسكوب هابل، وتُظهر آلاف المجرات التي تمتد عبر مليارات السنين الضوئية. تنقسم الصورة إلى ثلاث مناطق زمنية تمثل فترات مختلفة من عمر الكون: أقل من 5 مليارات سنة، من 5 إلى 9 مليارات سنة، وأكثر من 9 مليارات سنة. كل نقطة في الصورة تمثل مجرة تحتوي على مليارات النجوم. تتيح هذه البيانات فهم تطور المجرات والنجوم منذ نشأة الكون بعد الانفجار العظيم.
قراءة كامل الموضوع read more
5 + 3 =
منذ 11 شهر   نشر في  ٢٠٢٥/٠٤/١٦ م
محرك السيارة يعمل وفق مبدأ الاحتراق الداخلي، حيث يُدخل خليط من الوقود والهواء إلى غرفة الاحتراق داخل أسطوانة المحرك. يُضغط هذا الخليط بواسطة المكبس، ثم تشتعل الشحنة المضغوطة عبر شرارة كهربية تصدرها شمعة الاحتراق (في محركات البنزين)، ما يؤدي إلى انفجار يدفع المكبس للأسفل. تُحوَّل هذه الحركة الخطية إلى حركة دورانية عبر عمود المرفق، وتنتقل الطاقة الناتجة إلى ناقل الحركة فالعجلات، مما يدفع السيارة للأمام.
قراءة كامل الموضوع read more
5 + 8 =
منذ 11 شهر   نشر في  ٢٠٢٥/٠٤/١٦ م
الزمكان في النظرية النسبية العامة لأينشتاين هو مزيج من الأبعاد الأربعة (ثلاثة أبعاد مكانية بعدًا زمنيًا). وفقًا لهذه النظرية، ليس هناك مسافة ثابتة بين النقاط في الفضاء أو الزمن، بل يتأثر هذا الزمكان بتواجد الكتل والطاقة. الأجسام الضخمة مثل النجوم والكواكب تشوه الزمكان حولها، مما يسبب ما يُعرف بجاذبية. هذه الظاهرة تُفسر حركة الأجسام في الفضاء بطرق لا يمكن تفسيرها باستخدام الجاذبية الكلاسيكية.
قراءة كامل الموضوع read more
5 + 3 =
منذ 11 شهر   نشر في  ٢٠٢٥/٠٤/١٦ م
تمثل الصورة أول لقطة مباشرة للثقب الأسود الهائل Sagittarius A* الواقع في مركز مجرتنا، التقطها تلسكوب أفق الحدث عام 2022. تُظهر ظل الثقب محاطًا بغاز ساخن يدور بسرعة هائلة، مشكلاً حلقة ساطعة، بينما المركز المظلم يمثل الأفق الحدث. هذا الثقب الهائل يعادل 4 ملايين شمس، وتؤكد هذه الصورة تنبؤات النسبية العامة حول شكل الزمكان قرب الثقوب السوداء بدقة مذهلة.
قراءة كامل الموضوع read more
5 + 9 =
 شعار المرجع الالكتروني للمعلوماتية




البريد الألكتروني :
info@almerja.com
الدعم الفني :
9647733339172+