

تاريخ الرياضيات

الاعداد و نظريتها

تاريخ التحليل

تار يخ الجبر

الهندسة و التبلوجي


الرياضيات في الحضارات المختلفة

العربية

اليونانية

البابلية

الصينية

المايا

المصرية

الهندية


الرياضيات المتقطعة

المنطق

اسس الرياضيات

فلسفة الرياضيات

مواضيع عامة في المنطق


الجبر

الجبر الخطي

الجبر المجرد

الجبر البولياني

مواضيع عامة في الجبر

الضبابية

نظرية المجموعات

نظرية الزمر

نظرية الحلقات والحقول

نظرية الاعداد

نظرية الفئات

حساب المتجهات

المتتاليات-المتسلسلات

المصفوفات و نظريتها

المثلثات


الهندسة

الهندسة المستوية

الهندسة غير المستوية

مواضيع عامة في الهندسة

التفاضل و التكامل


المعادلات التفاضلية و التكاملية

معادلات تفاضلية

معادلات تكاملية

مواضيع عامة في المعادلات


التحليل

التحليل العددي

التحليل العقدي

التحليل الدالي

مواضيع عامة في التحليل

التحليل الحقيقي

التبلوجيا

نظرية الالعاب

الاحتمالات و الاحصاء

نظرية التحكم

بحوث العمليات

نظرية الكم

الشفرات

الرياضيات التطبيقية

نظريات ومبرهنات


علماء الرياضيات

500AD

500-1499

1000to1499

1500to1599

1600to1649

1650to1699

1700to1749

1750to1779

1780to1799

1800to1819

1820to1829

1830to1839

1840to1849

1850to1859

1860to1864

1865to1869

1870to1874

1875to1879

1880to1884

1885to1889

1890to1894

1895to1899

1900to1904

1905to1909

1910to1914

1915to1919

1920to1924

1925to1929

1930to1939

1940to the present

علماء الرياضيات

الرياضيات في العلوم الاخرى

بحوث و اطاريح جامعية

هل تعلم

طرائق التدريس

الرياضيات العامة

نظرية البيان
Simplicial Homology Groups-Boundary Homomorphisms
المؤلف:
David R. Wilkins
المصدر:
Algebraic Topology
الجزء والصفحة:
66-67
25-6-2017
2021
Let K be a simplicial complex. We introduce below boundary homomorphisms ∂q: Cq(K) → Cq−1(K) between the chain groups of K. If σ is an oriented q-simplex of K then ∂q(σ) is a (q − 1)-chain which is a formal sum of the (q − 1)-faces of σ, each with an orientation determined by the orientation of σ.
Let σ be a q-simplex with vertices v0, v1, . . . , vq. For each integer j between 0 and q we denote by hv0, . . . , vˆj, . . . , vqi the oriented (q − 1)-face 〈v0, . . . , vj−1, vj+1, . . . , vq〉
of the simplex σ obtained on omitting vj from the set of vertices of σ. In particular
〈vˆ0, v1, . . . , vq〉 ≡ 〈v1, . . . , vq〉, 〈v0, . . . , vq−1, vˆq〉 ≡ 〈v0, . . . , vq−1〉.
Similarly if j and k are integers between 0 and q, where j < k, we denote by
〈v0, . . . , vˆj , . . . , vˆk, . . . vq〉
the oriented (q−2)-face 〈v0, . . . , vj−1, vj+1, . . . , vk−1, vk+1, . . . , vq〉 of the simplex σ obtained on omitting vj and vk from the set of vertices of σ.
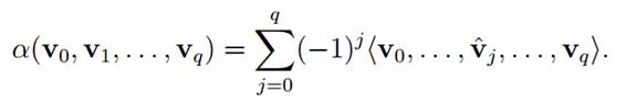
We now define a ‘boundary homomorphism’ ∂q: Cq(K) → Cq−1(K) for each integer q. Define ∂q = 0 if q ≤ 0 or q > dim K. (In this case one or other of the groups Cq(K) and Cq−1(K) is trivial.) Suppose then that 0 < q ≤ dim K. Given vertices v0, v1, . . . , vq spanning a simplex of K, let

Inspection of this formula shows that α(v0, v1, . . . , vq) changes sign whenever two adjacent vertices vi−1 and vi are interchanged.
Suppose that vj = vk for some j and k satisfying j < k. Then
α(v0, v1, . . . , vq) = (−1)j〈v0, . . . , vˆj, . . . , vq〉 + (−1)k〈v0, . . . , vˆk, . . . , vq〉,
since the remaining terms in the expression defining α(v0, v1, . . . , vq) con tain both vj and vk. However (v0, . . . , vˆk, . . . , vq) can be transformed to (v0, . . . , vˆj, . . . , vq) by making k − j − 1 transpositions which interchange vj successively with the vertices vj+1, vj+2, . . . , vk−1. Therefore
〈v0, . . . , vˆk, . . . , vq〉= (−1)k−j−1〈v0, . . . , vˆj, . . . , vq〉.
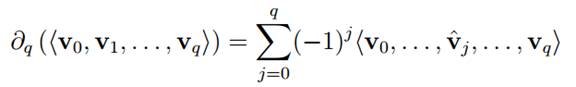
Thus α(v0, v1, . . . , v=) = 0 unless v0, v1, . . . , vq are all distinct. It now follows immediately from Lemma 6.2 that there is a well-defined homomorphism ∂q: Cq(K) → Cq−1(K), characterized by the property that

whenever v0, v1, . . . , vq span a simplex of K.
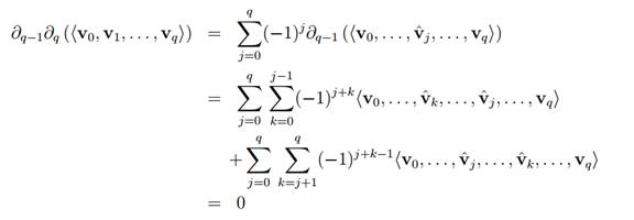
Lemma 1.1 ∂q−1 ◦ ∂q = 0 for all integers q.
Proof The result is trivial if q < 2, since in this case ∂q−1 = 0. Suppose that q ≥ 2. Let v0, v1, . . . , vq be vertices spanning a simplex of K. Then

(since each term in this summation over j and k cancels with the corresponding term with j and k interchanged). The result now follows from the fact that the homomorphism ∂q−1 ◦ ∂q is determined by its values on all oriented q-simplices of K.
الاكثر قراءة في التبلوجيا
اخر الاخبار
اخبار العتبة العباسية المقدسة
الآخبار الصحية

قسم الشؤون الفكرية يصدر كتاباً يوثق تاريخ السدانة في العتبة العباسية المقدسة
"المهمة".. إصدار قصصي يوثّق القصص الفائزة في مسابقة فتوى الدفاع المقدسة للقصة القصيرة
(نوافذ).. إصدار أدبي يوثق القصص الفائزة في مسابقة الإمام العسكري (عليه السلام)