Translational Kinetic Energy
المؤلف:
Professor John W. Norbury
المصدر:
ELEMENTARY MECHANICS & THERMODYNAMICS
الجزء والصفحة:
p 231
1-1-2017
2742
Translational Kinetic Energy
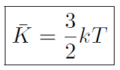
For a single molecule its average kinetic energy is

and using
gives
.
Remember that M is the molar mass, which is the mass of 1 mole of gas and m is the mass of the molecule. Thus
mole = 6.02 ×1023 = NA, Avagadro's number. Thus
or

This is a very interesting result. For a given temperature T, all gas molecules, no matter what their mass, have the same average translational kinetic energy.
Example In the center of the Sun the particles are bare hydrogen nuclei (protons). Calculate their average kinetic energy.
Solution The center of the Sun is at a temperature of about 20,000,000oK. Thus

الاكثر قراءة في الميكانيك
اخر الاخبار
اخبار العتبة العباسية المقدسة