Energy in SHM
المؤلف:
Professor John W. Norbury
المصدر:
ELEMENTARY MECHANICS & THERMODYNAMICS
الجزء والصفحة:
p 181
30-12-2016
2825
Energy in SHM
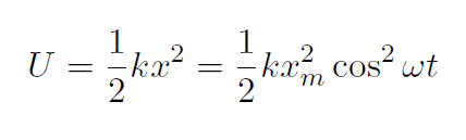
We found before that the potential energy stored in a spring is
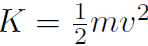
and the kinetic energy is
. The conservation of mechanical energy says that

where the total energy is

That is

Thus E is constant. However for a spring x and v are always changing. Can we be sure that E is always constant ?
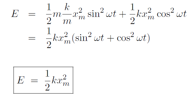
Example For SHM, show that the total energy is always constant even though K and U always change.
Solution Recall that for SHM we have x = xm cos
t and v = -
xm sin
t. Thus

and

Thus U and K always change. Let's add them.

but we previously found that
giving

which is always constant because the amplitude xm is constant!
الاكثر قراءة في الميكانيك
اخر الاخبار
اخبار العتبة العباسية المقدسة