Gravitation Inside Earth
المؤلف:
Professor John W. Norbury
المصدر:
ELEMENTARY MECHANICS & THERMODYNAMICS
الجزء والصفحة:
p 161
29-12-2016
3026
Gravitation Inside Earth
If you go down a deep mine shaft then there will be Earth below you and Earth above you. It is interesting to figure out that the Earth above you won't have any overall gravitational effect. The easiest way to see this is to suppose you were located exactly at the center of Earth. Then the gravitational pull of all the Earth surrounding you above will all cancel out and you will fee zero net force. Now consider Figure 1.1 where a person is located at point P inside the Earth, at a distance r from the center of Earth.

FIGURE 1.1 A person is located as point P inside the Earth, as a distance r from the center of Earth.
I have drawn a dotted circle of radius r intersecting point P. We all agree that the total mass located inside the dotted circle produces a net gravitational force on the person. However the mass outside the dotted circle produces no net gravitational force. This can be seen by considering the shaded regions A and B. Region A contains a small amount of mass which will pull the person at P outwards. However the mass contained in B will pull in the opposite direction. Now there is more mass in B, but it is further away and so the gravitational effects of the mass in A and in B cancel out. Thus we can ignore all of the mass located outside of the dotted circle.
Example A hole is drilled from the United States to China through the center of Earth. Ignoring the rotation of Earth, show that a particle dropped into the hole experiences a gravitational force like Hooke's law, and therefore will undergo oscillation in the hole.
Solution Newton's law is
where M is the mass contained within the dotted circle (Figure 1.1) and r is the radius of the dotted circle. Now when the particle falls through the hole, M keeps getting smaller because r gets smaller as the particle falls towards the center of Earth. The density of material in Earth is

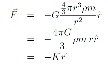
giving

where
is constant. Thus

where
and
. This is exactly Hooke's law, i.e. the same as for a spring. Thus the particle will oscillate.
Example When you go down a mine shaft, do you weigh more or less than you did at the surface of the Earth ?
Solution We found in the previous example that

Now
is constant and thus
is bigger when r is big. Thus when r gets small,
gets small and your weight therefore decreases. In fact
giving
indicating that g gets smaller as r gets smaller.
الاكثر قراءة في الميكانيك
اخر الاخبار
اخبار العتبة العباسية المقدسة