Kinetic Energy
المؤلف:
Professor John W. Norbury
المصدر:
ELEMENTARY MECHANICS & THERMODYNAMICS
الجزء والصفحة:
p 92
15-12-2016
2755
Kinetic Energy
Now we know that
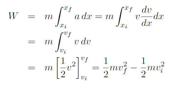
and so work can be written

where m is taken outside the integral because it's a constant. Let's just consider 1-dimension to make things easier. Thus

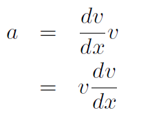
Now use an old trick.

using the chain rule for derivatives. But
, giving

Thus

Notice that we have found that the work is equal to the change in the quantity
We give this a special name and call it Kinetic Energy

Thus we have found that W = Kf - Ki or

The total work is always equal to the change in kinetic energy. Kinetic energy is the energy of motion. If m is large and v small, or m is small and v large the kinetic energy in both cases will be comparable. Note also that K must have the same units as W, namely Joule. What happens when we do work on an object? Well if you lift up an object, you increase its Potential energy (more about that in a moment). If you work on an object you can also increase its kinetic energy. If you push a marble on a table its speed will increase and so you have changed its kinetic energy.
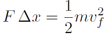
Example A sled of mass m is stationary on some frictionless ice. If I push the sled with a force of F over a distance Δx, what will be the speed of the sled ?
Solution The force is constant and is 1-dimension, so

Now vi = 0, giving

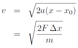
or

The neat thing is that we can get exactly the same answer with our old methods, as the next example shows.
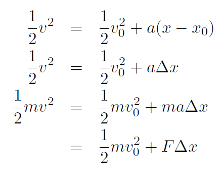
Example Work out the previous example using the constant acceleration equations.
Solution The acceleration is just

The constant acceleration equation that helps us is

Now x - x0 = Δx m and v0 = 0 giving

which is the same answer as the previous example. In the previous two examples notice how the equation

is equivalent to

Modify this to

or

as we have above !
Thus the work-energy formulation provides an alternative approach to mechanics.
الاكثر قراءة في الميكانيك
اخر الاخبار
اخبار العتبة العباسية المقدسة