Projectile Motion Analyzed
المؤلف:
Professor John W. Norbury
المصدر:
ELEMENTARY MECHANICS & THERMODYNAMICS
الجزء والصفحة:
p 52
12-12-2016
3929
Projectile Motion Analyzed
Most motion in 3-dimensions actually only occurs in 2-dimensions. The classic example is kicking a football off the ground. It follows a 2-dimensional curve, as shown in Fig. 1.1. Thus we can ignore all motion in the z direction and just analyze the x and y directions. Also we shall ignore air resistance.

FIGURE 1.1 Projectile Motion.
Example A football is kicked off the ground with an initial velocity of
at an angle θ to the ground. Write down the x constant acceleration equation in simplified form. (Ignore air resistance)
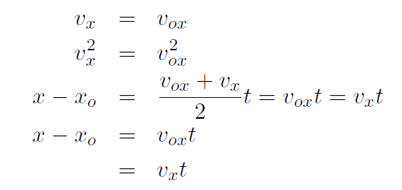
Solution The x direction is easiest to deal with, because there is no acceleration in the x direction after the ball has been kicked, i.e. ax = 0. Thus the constant acceleration equations in the x direction become
(1.1)
The first equation (vx = vox) makes perfect sense because if ax = 0 then the speed in the x direction is constant, which means vx = vox. The second equation just says the same thing. If vx = vox then of course also
=
. In the third equation we also use vx = vox to get
or 
. The fourth and fifth equations are also consistent with vx = vox, and simply say that distance = speed × time when the acceleration is 0. Now, what is vox in terms of
and θ? Well, from Fig. 4.1 we see that vox = vo cos θ and voy = vo sin θ. Thus (1.1) becomes

Example What is the form of the y-direction constant acceleration equations from the previous example ?
Solution Can we also simplify the constant acceleration equations for the y direction? No. In the y direction the acceleration is constant ay = -g but not zero. Thus the y direction equations don't simplify at all, except that we know that the value of ay is -g or -9:8 m/sec2. Also we can write voy = vo sin θ. Thus the equations for the y direction are

An important thing to notice is that t never gets an x, y or z subscript. This is because t is the same for all 3 components, i.e. t = tx = ty = tz.
(You should do some thinking about this.)
1) Drop an object: it accerates in y direction. Air track: no acceleration in x direction.
2) Push 2 objects off table at same time. One falls in vertical path and the other on parabolic trajectory but both hit ground at same time.
3) Monkey shoot.
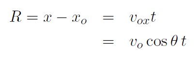
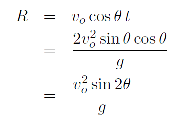
Example The total horizontal distance (called the Range) that a football will travel when kicked, depends upon the initial speed and angle that it leaves the ground. Derive a formula for the Range, and show that the maximum Range occurs for θ = 45o.
(Ignore air resistance and the spin of the football.)
Solution The Range, R is just

Given vo and θ we could calculate the range if we had t. We get this the y direction equation. From the previous example we had

But for this example, we have y - yo = 0. Thus

Substituting into our Range formula above gives

using the formula sin 2θ = 2 sin θ cos θ. Now R will be largest when sin 2θ is largest which occurs when 2θ = 90o. Thus θ = 45o.
COMPUTER SIMULATION (Interactive Physics): Air Drop.

FIGURE 1.2 Air Drop.
Example A rescue plane wants to drop supplies to isolated mountain climbers on a rocky ridge a distance H below. The plane is travelling horizontally at a speed of vox. The plane releases supplies a horizontal distance of R in advance of the mountain climbers. Derive a formula in terms of H, v0x, R and g, for the vertical velocity (up or down) that the supplies should be given so they land exactly at the climber's position. If H = 200 m, v0x = 250 km=hr and R = 400m, calculate a numerical value for this speed.(See Figure 1.2.)
Solution Let's put the origin at the plane. See Fig. 1.2. The initial speed of supplies when released is vox = +250 km/hour

We want to find the initial vertical velocity of the supplies, namely voy. We can get this from

or

and we get t from the x direction, namely

giving

which is the formula we seek. Let's now put in numbers:

Thus the supplies must be thrown in the down direction (not up) at 6.5 m/sec.
الاكثر قراءة في الميكانيك
اخر الاخبار
اخبار العتبة العباسية المقدسة