Acceleration
المؤلف:
Professor John W. Norbury
المصدر:
ELEMENTARY MECHANICS & THERMODYNAMICS
الجزء والصفحة:
p 18
7-12-2016
2631
Acceleration
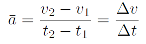
We have seen that velocity tells us how quickly position changes. Acceleration tells us how much velocity changes. The average acceleration is defined as:

and the instantaneous acceleration or just acceleration is defined as:
Now because v =
we can write a =
v =
(
) which is often written instead as
, that is the second derivative of position with respect to time.
Example When driving your car, what is your average acceleration if you are able to reach 20 mph from rest in 5 seconds ?
Solution
v2 = 20 mph v1 = 0 t2 = 5 seconds t1 = 0

Note that the a, t graph is the slope of the v, t graph.

FIGURE 1.1 Acceleration-time graphs for motion.
الاكثر قراءة في الميكانيك
اخر الاخبار
اخبار العتبة العباسية المقدسة