
تاريخ الفيزياء

علماء الفيزياء


الفيزياء الكلاسيكية

الميكانيك

الديناميكا الحرارية


الكهربائية والمغناطيسية

الكهربائية

المغناطيسية

الكهرومغناطيسية


علم البصريات

تاريخ علم البصريات

الضوء

مواضيع عامة في علم البصريات

الصوت


الفيزياء الحديثة


النظرية النسبية

النظرية النسبية الخاصة

النظرية النسبية العامة

مواضيع عامة في النظرية النسبية

ميكانيكا الكم

الفيزياء الذرية

الفيزياء الجزيئية


الفيزياء النووية

مواضيع عامة في الفيزياء النووية

النشاط الاشعاعي


فيزياء الحالة الصلبة

الموصلات

أشباه الموصلات

العوازل

مواضيع عامة في الفيزياء الصلبة

فيزياء الجوامد


الليزر

أنواع الليزر

بعض تطبيقات الليزر

مواضيع عامة في الليزر


علم الفلك

تاريخ وعلماء علم الفلك

الثقوب السوداء


المجموعة الشمسية

الشمس

كوكب عطارد

كوكب الزهرة

كوكب الأرض

كوكب المريخ

كوكب المشتري

كوكب زحل

كوكب أورانوس

كوكب نبتون

كوكب بلوتو

القمر

كواكب ومواضيع اخرى

مواضيع عامة في علم الفلك

النجوم

البلازما

الألكترونيات

خواص المادة


الطاقة البديلة

الطاقة الشمسية

مواضيع عامة في الطاقة البديلة

المد والجزر

فيزياء الجسيمات


الفيزياء والعلوم الأخرى

الفيزياء الكيميائية

الفيزياء الرياضية

الفيزياء الحيوية

الفيزياء والفلسفة

الفيزياء العامة


مواضيع عامة في الفيزياء

تجارب فيزيائية

مصطلحات وتعاريف فيزيائية

وحدات القياس الفيزيائية

طرائف الفيزياء

مواضيع اخرى
Two-Level System
المؤلف:
Sidney B. Cahn, Gerald D. Mahan And Boris E. Nadgorny
المصدر:
A GUIDE TO PHYSICS PROBLEMS
الجزء والصفحة:
part 2 , p 24
6-9-2016
2285
Two-Level System
Consider a system composed of a very large number N of distinguishable atoms at rest and mutually noninteracting, each of which has only two (nondegenerate) energy levels: 0, ε > 0. Let E / N be the mean energy per atom in the limit N → ∞.
a) What is the maximum possible value of E / N if the system is not necessarily in thermodynamic equilibrium? What is the maximum attainable value of E / N if the system is in equilibrium (at positive temperature)?
b) For thermodynamic equilibrium compute the entropy per atom S/N as a function of E / N.
SOLUTION
a) There is nothing to prevent giving each atom its larger energy ε, hence, η = E/Nε has a maximum of 1 with E/N = ε. Clearly, the system would not be in thermal equilibrium. To compute the problem in equilibrium, we need to determine the partition function, Z. For distinguishable noninteracting particles, the partition function factors, so for identical energy spectra
(1)
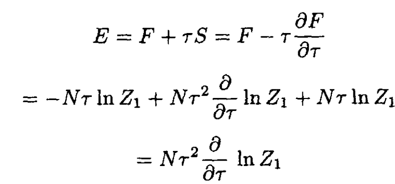
The free energy would be
(2)
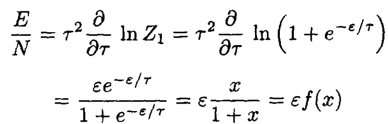
The energy is then
(3)
or
(4)
where x = e-ε/τ. Obviously, since both ε and τ are positive, x cannot be larger than 1. On the other hand, x/(1 + x) is a monotonic function which goes to 1/2 when τ goes to infinity; hence, max{E/Nε} = f(1) = 1/2 at τ → ∞.
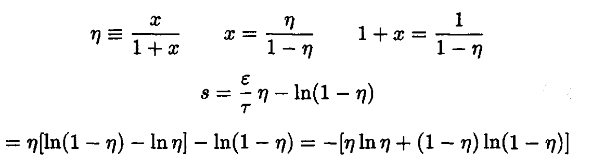
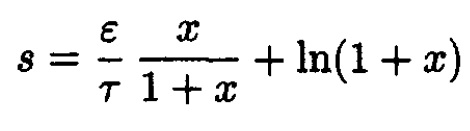
b) The entropy may be found from (2)–( 4):
(5)
The entropy per particle, s = S/N, is given by
(6)
Writing
(7)
We can check that
(8)
as it should.
الاكثر قراءة في مواضيع اخرى
اخر الاخبار
اخبار العتبة العباسية المقدسة
الآخبار الصحية

قسم الشؤون الفكرية يصدر كتاباً يوثق تاريخ السدانة في العتبة العباسية المقدسة
"المهمة".. إصدار قصصي يوثّق القصص الفائزة في مسابقة فتوى الدفاع المقدسة للقصة القصيرة
(نوافذ).. إصدار أدبي يوثق القصص الفائزة في مسابقة الإمام العسكري (عليه السلام)