
تاريخ الفيزياء

علماء الفيزياء


الفيزياء الكلاسيكية

الميكانيك

الديناميكا الحرارية


الكهربائية والمغناطيسية

الكهربائية

المغناطيسية

الكهرومغناطيسية


علم البصريات

تاريخ علم البصريات

الضوء

مواضيع عامة في علم البصريات

الصوت


الفيزياء الحديثة


النظرية النسبية

النظرية النسبية الخاصة

النظرية النسبية العامة

مواضيع عامة في النظرية النسبية

ميكانيكا الكم

الفيزياء الذرية

الفيزياء الجزيئية


الفيزياء النووية

مواضيع عامة في الفيزياء النووية

النشاط الاشعاعي


فيزياء الحالة الصلبة

الموصلات

أشباه الموصلات

العوازل

مواضيع عامة في الفيزياء الصلبة

فيزياء الجوامد


الليزر

أنواع الليزر

بعض تطبيقات الليزر

مواضيع عامة في الليزر


علم الفلك

تاريخ وعلماء علم الفلك

الثقوب السوداء


المجموعة الشمسية

الشمس

كوكب عطارد

كوكب الزهرة

كوكب الأرض

كوكب المريخ

كوكب المشتري

كوكب زحل

كوكب أورانوس

كوكب نبتون

كوكب بلوتو

القمر

كواكب ومواضيع اخرى

مواضيع عامة في علم الفلك

النجوم

البلازما

الألكترونيات

خواص المادة


الطاقة البديلة

الطاقة الشمسية

مواضيع عامة في الطاقة البديلة

المد والجزر

فيزياء الجسيمات


الفيزياء والعلوم الأخرى

الفيزياء الكيميائية

الفيزياء الرياضية

الفيزياء الحيوية

الفيزياء والفلسفة

الفيزياء العامة


مواضيع عامة في الفيزياء

تجارب فيزيائية

مصطلحات وتعاريف فيزيائية

وحدات القياس الفيزيائية

طرائف الفيزياء

مواضيع اخرى
Thermionic Emission
المؤلف:
Sidney B. Cahn, Gerald D. Mahan And Boris E. Nadgorny
المصدر:
A GUIDE TO PHYSICS PROBLEMS
الجزء والصفحة:
part 2 , p 47
6-9-2016
2915
Thermionic Emission
a) Assume that the evaporation of electrons from a hot wire (Richardson’s effect) is thermodynamically equivalent to the sublimation of a solid. Find the pressure of the electron gas, provided that the electrons outside the metal constitute an ideal classical monatomic gas and that the chemical potential μs of the electrons in the metal (the solid phase) is a constant.
b) Derive the same result by using the Clausius–Clapeyron equation

where L is the latent heat of electron evaporation. Neglect the volume occupied by the electrons in the metal
SOLUTION
a) We can consider the electron gas outside the metal to be in equilibrium with the electrons inside the metal. Then the number of electrons hitting the surface from the outside should be equal to the number of electrons leaving the metal. Using the formula for chemical potential of a monatomic ideal gas, we can write
(1)
where g = 2s + 1 = 2 for an electron gas. Rewriting (1), we have
(2)
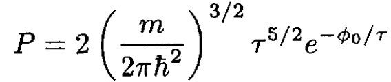
The state of equilibrium requires that this chemical potential be equal to the potential inside the metal, which we can take as μs = -ϕ0; i.e., the energy ϕ0 is required to take an electron from the Fermi level inside the metal into vacuum. So, the pressure of the electron gas is given by
(3)
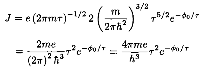
On the other hand, the number of particles of the ideal gas striking the surface per unit area per unit time is
(4)
The current
(5)
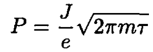
where e is the electron charge. Therefore, we can express P from (5):
(6)
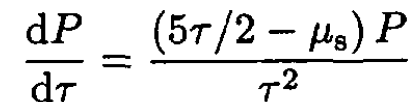
Equating (6) with (3), we find the current
(7)
Alternatively, we can calculate the current by considering the electrons leaving the metal as if they have a kinetic energy high enough to overcome the potential barrier.
b) For one particle,
(8)
where Eg and Es are the energies, and vg and vs the volumes per particle, of the gas and solid, respectively. Since vg >> vs, we can rewrite (8) in the form
(9)
Substituting (9) into the Clausius-Clapeyron equation
(10)
we obtain
(11)
We may rewrite (11) as
(12)
Integrating, we recover (2):

where A is some constant, or
(13)
الاكثر قراءة في مواضيع اخرى
اخر الاخبار
اخبار العتبة العباسية المقدسة
الآخبار الصحية

قسم الشؤون الفكرية يصدر كتاباً يوثق تاريخ السدانة في العتبة العباسية المقدسة
"المهمة".. إصدار قصصي يوثّق القصص الفائزة في مسابقة فتوى الدفاع المقدسة للقصة القصيرة
(نوافذ).. إصدار أدبي يوثق القصص الفائزة في مسابقة الإمام العسكري (عليه السلام)