
تاريخ الفيزياء

علماء الفيزياء


الفيزياء الكلاسيكية

الميكانيك

الديناميكا الحرارية


الكهربائية والمغناطيسية

الكهربائية

المغناطيسية

الكهرومغناطيسية


علم البصريات

تاريخ علم البصريات

الضوء

مواضيع عامة في علم البصريات

الصوت


الفيزياء الحديثة


النظرية النسبية

النظرية النسبية الخاصة

النظرية النسبية العامة

مواضيع عامة في النظرية النسبية

ميكانيكا الكم

الفيزياء الذرية

الفيزياء الجزيئية


الفيزياء النووية

مواضيع عامة في الفيزياء النووية

النشاط الاشعاعي


فيزياء الحالة الصلبة

الموصلات

أشباه الموصلات

العوازل

مواضيع عامة في الفيزياء الصلبة

فيزياء الجوامد


الليزر

أنواع الليزر

بعض تطبيقات الليزر

مواضيع عامة في الليزر


علم الفلك

تاريخ وعلماء علم الفلك

الثقوب السوداء


المجموعة الشمسية

الشمس

كوكب عطارد

كوكب الزهرة

كوكب الأرض

كوكب المريخ

كوكب المشتري

كوكب زحل

كوكب أورانوس

كوكب نبتون

كوكب بلوتو

القمر

كواكب ومواضيع اخرى

مواضيع عامة في علم الفلك

النجوم

البلازما

الألكترونيات

خواص المادة


الطاقة البديلة

الطاقة الشمسية

مواضيع عامة في الطاقة البديلة

المد والجزر

فيزياء الجسيمات


الفيزياء والعلوم الأخرى

الفيزياء الكيميائية

الفيزياء الرياضية

الفيزياء الحيوية

الفيزياء والفلسفة

الفيزياء العامة


مواضيع عامة في الفيزياء

تجارب فيزيائية

مصطلحات وتعاريف فيزيائية

وحدات القياس الفيزيائية

طرائف الفيزياء

مواضيع اخرى
Thermal Expansion and Heat Capacity
المؤلف:
Sidney B. Cahn, Gerald D. Mahan And Boris E. Nadgorny
المصدر:
A GUIDE TO PHYSICS PROBLEMS
الجزء والصفحة:
part 2 , p 45
6-9-2016
2025
Thermal Expansion and Heat Capacity
a) Find the temperature dependence of the thermal expansion coefficient if the interaction between atoms is described by a potential

where λ is a small parameter.
b) Derive the anharmonic corrections to the Dulong–Petit law for a potential

where η is a small parameter.
SOLUTION
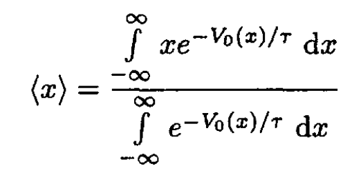
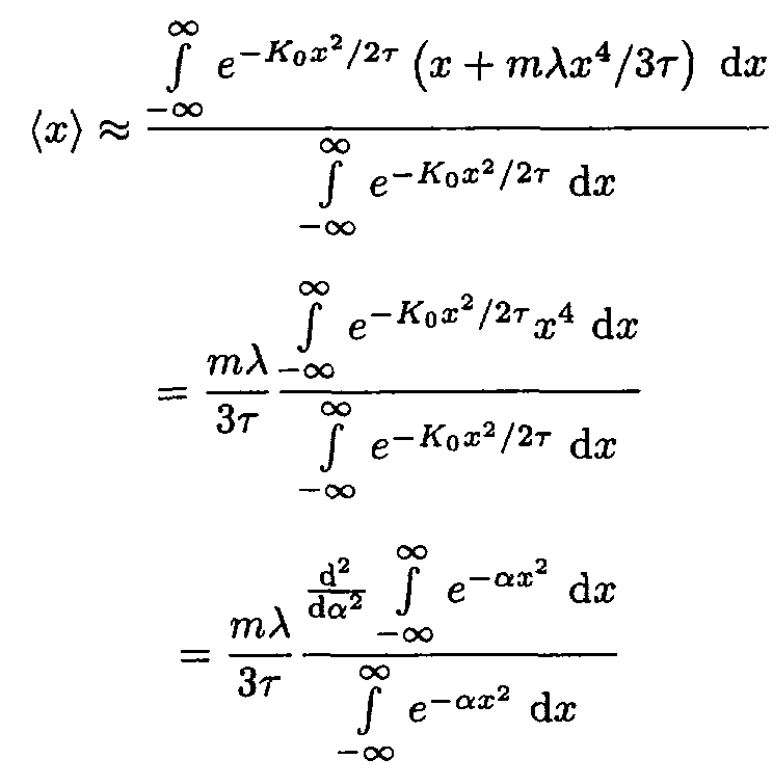
a) First solution: We can calculate the average displacement of an oscillator:
(1)
Since the anharmonic term is small, mλx3/3 << τ, we can expand the exponent in the integral:
(2)
where we set α ≡ K0/2τ. So,
(3)
Note that, in this approximation, the next term in the potential
would not have introduced any additional shift (only antisymmetric terms do).
Second solution: We can solve the equation of motion for the nonlinear harmonic oscillator corresponding to the potential V0(x):
(4)
where
is the principal frequency. The solution gives
(5)
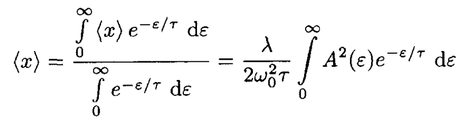
where A' is defined from the initial conditions and A is the amplitude of oscillations of the linear equation. The average 〈x〉 over a period T = 2π/ω0 is
(6)
We need to calculate the thermodynamic average of 〈x〉:
(7)
Substituting A2(ε) =2ε/K0, we obtain
(8)
the same as before.
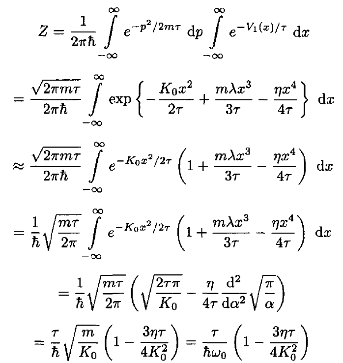
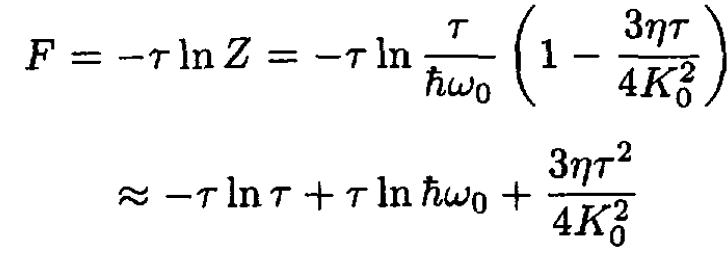
b) The partition function of a single oscillator associated with this potential energy is
(9)
So, the free energy F per oscillator is given by
(10)
where we approximated ln (1 – x) ≈ - x. The energy per oscillator may be found from
(11)
The heat capacity is then
(12)
The anharmonic correction to the heat capacity is negative.
الاكثر قراءة في مواضيع اخرى
اخر الاخبار
اخبار العتبة العباسية المقدسة
الآخبار الصحية

قسم الشؤون الفكرية يصدر كتاباً يوثق تاريخ السدانة في العتبة العباسية المقدسة
"المهمة".. إصدار قصصي يوثّق القصص الفائزة في مسابقة فتوى الدفاع المقدسة للقصة القصيرة
(نوافذ).. إصدار أدبي يوثق القصص الفائزة في مسابقة الإمام العسكري (عليه السلام)