
تاريخ الفيزياء

علماء الفيزياء


الفيزياء الكلاسيكية

الميكانيك

الديناميكا الحرارية


الكهربائية والمغناطيسية

الكهربائية

المغناطيسية

الكهرومغناطيسية


علم البصريات

تاريخ علم البصريات

الضوء

مواضيع عامة في علم البصريات

الصوت


الفيزياء الحديثة


النظرية النسبية

النظرية النسبية الخاصة

النظرية النسبية العامة

مواضيع عامة في النظرية النسبية

ميكانيكا الكم

الفيزياء الذرية

الفيزياء الجزيئية


الفيزياء النووية

مواضيع عامة في الفيزياء النووية

النشاط الاشعاعي


فيزياء الحالة الصلبة

الموصلات

أشباه الموصلات

العوازل

مواضيع عامة في الفيزياء الصلبة

فيزياء الجوامد


الليزر

أنواع الليزر

بعض تطبيقات الليزر

مواضيع عامة في الليزر


علم الفلك

تاريخ وعلماء علم الفلك

الثقوب السوداء


المجموعة الشمسية

الشمس

كوكب عطارد

كوكب الزهرة

كوكب الأرض

كوكب المريخ

كوكب المشتري

كوكب زحل

كوكب أورانوس

كوكب نبتون

كوكب بلوتو

القمر

كواكب ومواضيع اخرى

مواضيع عامة في علم الفلك

النجوم

البلازما

الألكترونيات

خواص المادة


الطاقة البديلة

الطاقة الشمسية

مواضيع عامة في الطاقة البديلة

المد والجزر

فيزياء الجسيمات


الفيزياء والعلوم الأخرى

الفيزياء الكيميائية

الفيزياء الرياضية

الفيزياء الحيوية

الفيزياء والفلسفة

الفيزياء العامة


مواضيع عامة في الفيزياء

تجارب فيزيائية

مصطلحات وتعاريف فيزيائية

وحدات القياس الفيزيائية

طرائف الفيزياء

مواضيع اخرى
Tea in Thermos
المؤلف:
Sidney B. Cahn, Gerald D. Mahan And Boris E. Nadgorny
المصدر:
A GUIDE TO PHYSICS PROBLEMS
الجزء والصفحة:
part 2 , p 8
6-9-2016
2225
Tea in Thermos
One liter of tea at 90°C is poured into a vacuum-insulated container (thermos). The surface area of the thermos walls A = 600 cm2. The volume between the walls is pumped down to P0 ~ 5 × 10-6 atm pressure (at room temperature). The emissivity of the walls ϵ = 0.1, and the thermal capacity of water C = 4.2 × 103 J/kg K. Disregarding the heat leakage through the stopper, estimate the
a) Net power transfer
b) Time for the tea to cool from 90°C to 70°C.
SOLUTION
There are two main sources of power dissipation: radiation from the walls of the thermos and thermal conductance of the air between the walls. Let us first estimate the radiative loss. The power radiated from the hotter inner wall minus the power absorbed from the outer wall is given by
(1)
where T is the temperature of the tea, T0 is room temperature, and the Stefan–Boltzmann constant σ = 5.7 × 10-8 W/m2K4. Initially, T = 363 K, T0 = 393 K. So

The power dissipation due to the thermal conductivity of the air can be estimated from the fact that, at that pressure, the mean free path of the air molecules is about λ ~ 1 cm. Therefore, there are very few collisions between the molecules that travel from one wall of the thermos to the other. We can assume that we are in the Knudsen regime of λ ≥ d (d is the distance between the walls). In this regime the thermal conductance is proportional to the pressure (if λ << d, it is independent of the pressure). Let us assume that after a molecule strikes the wall, it acquires the temperature of the wall. Initially after it hits the wall, a molecule will take away the energy
(2)
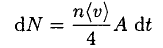
where we can take for air cv ~ 5/2 kB. The number of molecules striking the inner wall per time interval dt is
(3)
where n is the concentration of molecules and (v) is their average velocity. The power due to the thermal conductance is
(4)
We can substitute n = P/kBT0 and

Then (4) becomes
(5)
So, we can see that radiation loss has about the same order of magnitude as thermal conductance at these parameters. Therefore the properties of the thermos can only be improved significantly by decreasing both the emissivity and the residual pressure between the walls. The energy dissipated is equal to the energy change of the mass m of the tea:
(6)
So
(7)
where we used for an estimate the fact that T does not change significantly and
Then the time t for the tea to cool from the initial temperature Ti to the final temperature Tf is given by
(8)
الاكثر قراءة في مواضيع اخرى
اخر الاخبار
اخبار العتبة العباسية المقدسة
الآخبار الصحية

قسم الشؤون الفكرية يصدر كتاباً يوثق تاريخ السدانة في العتبة العباسية المقدسة
"المهمة".. إصدار قصصي يوثّق القصص الفائزة في مسابقة فتوى الدفاع المقدسة للقصة القصيرة
(نوافذ).. إصدار أدبي يوثق القصص الفائزة في مسابقة الإمام العسكري (عليه السلام)