
تاريخ الفيزياء

علماء الفيزياء


الفيزياء الكلاسيكية

الميكانيك

الديناميكا الحرارية


الكهربائية والمغناطيسية

الكهربائية

المغناطيسية

الكهرومغناطيسية


علم البصريات

تاريخ علم البصريات

الضوء

مواضيع عامة في علم البصريات

الصوت


الفيزياء الحديثة


النظرية النسبية

النظرية النسبية الخاصة

النظرية النسبية العامة

مواضيع عامة في النظرية النسبية

ميكانيكا الكم

الفيزياء الذرية

الفيزياء الجزيئية


الفيزياء النووية

مواضيع عامة في الفيزياء النووية

النشاط الاشعاعي


فيزياء الحالة الصلبة

الموصلات

أشباه الموصلات

العوازل

مواضيع عامة في الفيزياء الصلبة

فيزياء الجوامد


الليزر

أنواع الليزر

بعض تطبيقات الليزر

مواضيع عامة في الليزر


علم الفلك

تاريخ وعلماء علم الفلك

الثقوب السوداء


المجموعة الشمسية

الشمس

كوكب عطارد

كوكب الزهرة

كوكب الأرض

كوكب المريخ

كوكب المشتري

كوكب زحل

كوكب أورانوس

كوكب نبتون

كوكب بلوتو

القمر

كواكب ومواضيع اخرى

مواضيع عامة في علم الفلك

النجوم

البلازما

الألكترونيات

خواص المادة


الطاقة البديلة

الطاقة الشمسية

مواضيع عامة في الطاقة البديلة

المد والجزر

فيزياء الجسيمات


الفيزياء والعلوم الأخرى

الفيزياء الكيميائية

الفيزياء الرياضية

الفيزياء الحيوية

الفيزياء والفلسفة

الفيزياء العامة


مواضيع عامة في الفيزياء

تجارب فيزيائية

مصطلحات وتعاريف فيزيائية

وحدات القياس الفيزيائية

طرائف الفيزياء

مواضيع اخرى
Speed of Sound in Quantum Gases
المؤلف:
Sidney B. Cahn, Gerald D. Mahan And Boris E. Nadgorny
المصدر:
A GUIDE TO PHYSICS PROBLEMS
الجزء والصفحة:
part 2 , p 33
4-9-2016
2217
Speed of Sound in Quantum Gases
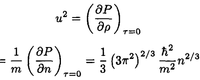
The sound velocity u in a spin-1/2 Fermi gas is given at τ = 0 by

where ρ = mn, m is the mass of the gas particles, and n is the number density.
a) Show that

where μ is the chemical potential.
b) Calculate the sound velocity in the limit of zero temperature. Express your answer in terms of n, m.
c) Show that

in a Bose gas below the Bose–Einstein temperature.
SOLUTION
a) The Gibbs free energy G is a function of (P, τ), which do not depend on the number of particles; i.e.,
(1)
where f(P, τ) is some function of (P, τ). On the other hand,
(2)
Therefore, μ = G/N for a system consisting of identical particles, and we may write for μ:
(3)
where s = S/N and v = V/N. From (3) we have

and we recover
(4)
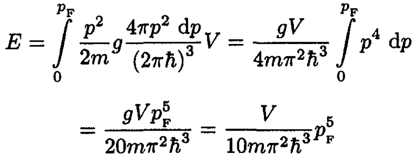
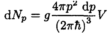
b) The number of quantum states in the interval between p and p + dp for a Fermi gas is
(5)
where g = 2s + 1. At τ = 0, electrons fill all the states with momentum from 0 to pF, so the total number of electrons N is given by
(6)
For s = 1/2, g = 2, and
(7)
or
(8)
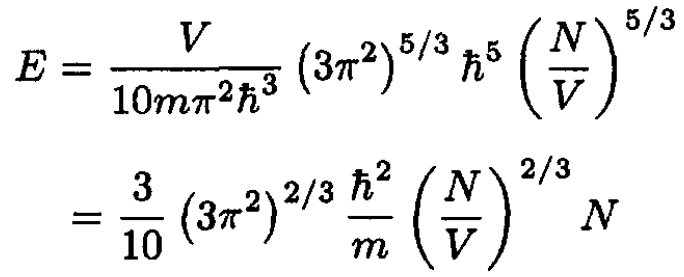
The total energy of the gas
(9)
Substituting pF from (8), we obtain
(10)
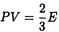
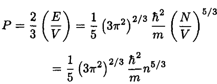
Using the equation of state for a Fermi gas,

we have
(11)
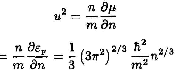
Now, using (11), we can calculate u2:
(12)
Alternatively, we can use the expression obtained in (a) and the fact that, at τ = 0, the chemical potential μ ≡ εF. From (8),
(13)
and we again recover (12) in
(14)
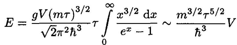
c) We can explicitly calculate the total energy of the Bose gas, which will be defined by the particles that are outside the condensate (since the condensed particles are in the ground state with ε = 0). At a temperature below the Bose–Einstein condensation τ < τ0, the particles outside the condensate (with ε > 0) are distributed according to a regular Bose distribution with μ = 0:
(15)
The total number of particles outside the condensate is
therefore
(16)
The energy of the Bose gas at τ < τ0 is
(17)
The free energy F is

since G = μN and μ = 0. So the pressure
(18)
So we see that the pressure does not depend on the volume and

at τ < τ0. We could have determined the result without the above calculations since μ = 0 at τ ≤ τ0; the particles which are inside the condensate (with ε = 0) have no momentum and do not contribute to pressure.
الاكثر قراءة في مواضيع اخرى
اخر الاخبار
اخبار العتبة العباسية المقدسة
الآخبار الصحية

قسم الشؤون الفكرية يصدر كتاباً يوثق تاريخ السدانة في العتبة العباسية المقدسة
"المهمة".. إصدار قصصي يوثّق القصص الفائزة في مسابقة فتوى الدفاع المقدسة للقصة القصيرة
(نوافذ).. إصدار أدبي يوثق القصص الفائزة في مسابقة الإمام العسكري (عليه السلام)