
تاريخ الفيزياء

علماء الفيزياء


الفيزياء الكلاسيكية

الميكانيك

الديناميكا الحرارية


الكهربائية والمغناطيسية

الكهربائية

المغناطيسية

الكهرومغناطيسية


علم البصريات

تاريخ علم البصريات

الضوء

مواضيع عامة في علم البصريات

الصوت


الفيزياء الحديثة


النظرية النسبية

النظرية النسبية الخاصة

النظرية النسبية العامة

مواضيع عامة في النظرية النسبية

ميكانيكا الكم

الفيزياء الذرية

الفيزياء الجزيئية


الفيزياء النووية

مواضيع عامة في الفيزياء النووية

النشاط الاشعاعي


فيزياء الحالة الصلبة

الموصلات

أشباه الموصلات

العوازل

مواضيع عامة في الفيزياء الصلبة

فيزياء الجوامد


الليزر

أنواع الليزر

بعض تطبيقات الليزر

مواضيع عامة في الليزر


علم الفلك

تاريخ وعلماء علم الفلك

الثقوب السوداء


المجموعة الشمسية

الشمس

كوكب عطارد

كوكب الزهرة

كوكب الأرض

كوكب المريخ

كوكب المشتري

كوكب زحل

كوكب أورانوس

كوكب نبتون

كوكب بلوتو

القمر

كواكب ومواضيع اخرى

مواضيع عامة في علم الفلك

النجوم

البلازما

الألكترونيات

خواص المادة


الطاقة البديلة

الطاقة الشمسية

مواضيع عامة في الطاقة البديلة

المد والجزر

فيزياء الجسيمات


الفيزياء والعلوم الأخرى

الفيزياء الكيميائية

الفيزياء الرياضية

الفيزياء الحيوية

الفيزياء والفلسفة

الفيزياء العامة


مواضيع عامة في الفيزياء

تجارب فيزيائية

مصطلحات وتعاريف فيزيائية

وحدات القياس الفيزيائية

طرائف الفيزياء

مواضيع اخرى
Slowly Leaking Box
المؤلف:
Sidney B. Cahn, Gerald D. Mahan And Boris E. Nadgorny
المصدر:
A GUIDE TO PHYSICS PROBLEMS
الجزء والصفحة:
part 2 , p 9
4-9-2016
1894
Slowly Leaking Box
An ideal gas of atoms of number density n at an absolute temperature τ is confined to a thermally isolated container that has a small hole of area A in one of the walls(see Figure 1.1). Assume a Maxwell velocity distribution for the atoms. The size of the hole is much smaller than the size of the container and much smaller than the mean free path of the atoms.

Figure 1.1
a) Calculate the number of atoms striking the wall of the container per unit area per unit time. (Express your answer in terms of the mean velocity of the atoms.)
b) What is the ratio of the average kinetic energy of atoms leaving the container to the average kinetic energy of atoms initially occupying the container? Assume that there is no flow back to the container. Give a qualitative argument and compute this ratio.
c) How much heat must you transfer to/from the container to keep the temperature of the gas constant?
SOLUTION
a) The number of atoms per unit volume moving in the direction normal to the wall (in spherical coordinates) is
(1)
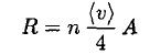
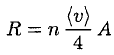
where ϕ is the azimuth angle, θ is the polar angle, n is the number density of atoms, and f (v) is the speed distribution function (Maxwellian). To determine the number of atoms striking the area of the hole A on the wall per time dt, we have to multiply (1) by Av cos θ dt (only the atoms within a distance v cos θ dt reach the wall). To obtain the total atomic flow rate R through the hole, we have to integrate the following expression:
(2)
We integrate from 0 to π/2 since we only consider the atoms moving toward the wall. On the other hand, by definition, the average velocity (v) is given by
(3)
Comparing (2) and (3), we see that
(4)
This result applies for any type of distribution function f (v). We only consider a flow from the inside to the outside of the container. Since the hole is small, we can assume that the distribution function of the atoms inside the container does not change appreciably.
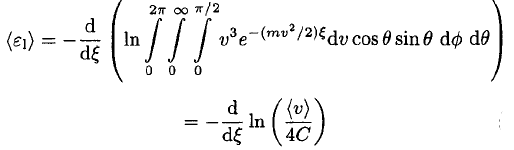
b) The average kinetic energy of the atoms leaving the container should be somewhat higher than the average kinetic energy in the container because faster atoms strike the wall more often than the ones moving more slowly. So, the faster atoms leave the container at a higher rate. Let us compute this energy (ε1). For a Maxwellian distribution we have f (v) = Ce-mv2/2τ, where C is a normalizing constant:
(5)
The numerator is the total energy of the atoms leaving the container per second, and the denominator is the total number of atoms leaving the container per second. Define 1/τ ≡ ζ. From part (a), we can express this integral in terms of the average velocity (v). Then we have
(6)
We know that
(since it is a normalizing factor), and
(7)
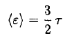
So (ε1) is indeed higher than the average energy of the atoms:
(8)
c) From (b) we know that each atom leaving the container takes with it an additional energy ∆ε = (ε1) – (ε) = τ/2. The flow rate of the atoms leaving the container (from (a)) is
(9)
The energy flow rate from the container becomes
(10)
To keep the temperature of the atoms inside the container constant, we have to transfer some heat to it at the same rate:
(11)
Equating the flow rate to the decrease of the number of atoms inside gives
(12)
We then obtain
(13)
Solving this differential equation, we can find the change in number density:
(14)
is the time constant and n is the initial number density. Therefore, the heat flow rate is
(15)
الاكثر قراءة في مواضيع اخرى
اخر الاخبار
اخبار العتبة العباسية المقدسة
الآخبار الصحية

قسم الشؤون الفكرية يصدر كتاباً يوثق تاريخ السدانة في العتبة العباسية المقدسة
"المهمة".. إصدار قصصي يوثّق القصص الفائزة في مسابقة فتوى الدفاع المقدسة للقصة القصيرة
(نوافذ).. إصدار أدبي يوثق القصص الفائزة في مسابقة الإمام العسكري (عليه السلام)