
تاريخ الفيزياء

علماء الفيزياء


الفيزياء الكلاسيكية

الميكانيك

الديناميكا الحرارية


الكهربائية والمغناطيسية

الكهربائية

المغناطيسية

الكهرومغناطيسية


علم البصريات

تاريخ علم البصريات

الضوء

مواضيع عامة في علم البصريات

الصوت


الفيزياء الحديثة


النظرية النسبية

النظرية النسبية الخاصة

النظرية النسبية العامة

مواضيع عامة في النظرية النسبية

ميكانيكا الكم

الفيزياء الذرية

الفيزياء الجزيئية


الفيزياء النووية

مواضيع عامة في الفيزياء النووية

النشاط الاشعاعي


فيزياء الحالة الصلبة

الموصلات

أشباه الموصلات

العوازل

مواضيع عامة في الفيزياء الصلبة

فيزياء الجوامد


الليزر

أنواع الليزر

بعض تطبيقات الليزر

مواضيع عامة في الليزر


علم الفلك

تاريخ وعلماء علم الفلك

الثقوب السوداء


المجموعة الشمسية

الشمس

كوكب عطارد

كوكب الزهرة

كوكب الأرض

كوكب المريخ

كوكب المشتري

كوكب زحل

كوكب أورانوس

كوكب نبتون

كوكب بلوتو

القمر

كواكب ومواضيع اخرى

مواضيع عامة في علم الفلك

النجوم

البلازما

الألكترونيات

خواص المادة


الطاقة البديلة

الطاقة الشمسية

مواضيع عامة في الطاقة البديلة

المد والجزر

فيزياء الجسيمات


الفيزياء والعلوم الأخرى

الفيزياء الكيميائية

الفيزياء الرياضية

الفيزياء الحيوية

الفيزياء والفلسفة

الفيزياء العامة


مواضيع عامة في الفيزياء

تجارب فيزيائية

مصطلحات وتعاريف فيزيائية

وحدات القياس الفيزيائية

طرائف الفيزياء

مواضيع اخرى
Rocket in Drag
المؤلف:
Sidney B. Cahn, Gerald D. Mahan And Boris E. Nadgorny
المصدر:
A GUIDE TO PHYSICS PROBLEMS
الجزء والصفحة:
part 2 , p 12
3-9-2016
1785
Rocket in Drag
A rocket has an effective frontal area A and blasts off with a constant acceleration a straight up from the surface of the Earth (see Figure 1.1).

Figure 1.1
a) Use either dimensional analysis or an elementary derivation to find out how the atmospheric drag on the rocket should vary as some power(s) of the area A, the rocket velocity v, and the atmospheric density ρ (assuming that we are in the region of high Reynolds numbers).
b) Assume that the atmosphere is isothermal with temperature T. Derive the variation of the atmospheric density ρ with height z. Assume that the gravitational acceleration g is a constant and that the density at sea level is ρ0.
c) Find the height h0 at which the drag on the rocket is at a maximum.
SOLUTION
a) Use dimensional analysis to derive the drag force F on the rocket:
(1)
We then have
(2)
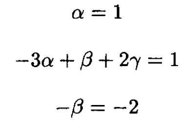
So α = γ = 1, β = 2, and
(3)
This formula is generally correct for high Reynolds numbers; for low Reynolds numbers we have Stokes’ law:
(4)
where η is the viscosity and is the radius.
b) For an isothermal atmosphere, take a column of air of height dz and area
A. The pressure difference between top and bottom should compensate the weight of the column:
(5)
or

Using
(6)
where μ is the molar weight of the air, and substituting (6) into (5), we obtain
(7)
Therefore,
(8)
c) At a height h we have, from (3),
(9)
where we used v2 = 2ah for uniform acceleration. Now, the maximum force is defined by
(10)
So, assuming that the average temperature for the isothermal atmosphere T = 250 K, we find
(11)
الاكثر قراءة في مواضيع اخرى
اخر الاخبار
اخبار العتبة العباسية المقدسة
الآخبار الصحية

قسم الشؤون الفكرية يصدر كتاباً يوثق تاريخ السدانة في العتبة العباسية المقدسة
"المهمة".. إصدار قصصي يوثّق القصص الفائزة في مسابقة فتوى الدفاع المقدسة للقصة القصيرة
(نوافذ).. إصدار أدبي يوثق القصص الفائزة في مسابقة الإمام العسكري (عليه السلام)