
تاريخ الفيزياء

علماء الفيزياء


الفيزياء الكلاسيكية

الميكانيك

الديناميكا الحرارية


الكهربائية والمغناطيسية

الكهربائية

المغناطيسية

الكهرومغناطيسية


علم البصريات

تاريخ علم البصريات

الضوء

مواضيع عامة في علم البصريات

الصوت


الفيزياء الحديثة


النظرية النسبية

النظرية النسبية الخاصة

النظرية النسبية العامة

مواضيع عامة في النظرية النسبية

ميكانيكا الكم

الفيزياء الذرية

الفيزياء الجزيئية


الفيزياء النووية

مواضيع عامة في الفيزياء النووية

النشاط الاشعاعي


فيزياء الحالة الصلبة

الموصلات

أشباه الموصلات

العوازل

مواضيع عامة في الفيزياء الصلبة

فيزياء الجوامد


الليزر

أنواع الليزر

بعض تطبيقات الليزر

مواضيع عامة في الليزر


علم الفلك

تاريخ وعلماء علم الفلك

الثقوب السوداء


المجموعة الشمسية

الشمس

كوكب عطارد

كوكب الزهرة

كوكب الأرض

كوكب المريخ

كوكب المشتري

كوكب زحل

كوكب أورانوس

كوكب نبتون

كوكب بلوتو

القمر

كواكب ومواضيع اخرى

مواضيع عامة في علم الفلك

النجوم

البلازما

الألكترونيات

خواص المادة


الطاقة البديلة

الطاقة الشمسية

مواضيع عامة في الطاقة البديلة

المد والجزر

فيزياء الجسيمات


الفيزياء والعلوم الأخرى

الفيزياء الكيميائية

الفيزياء الرياضية

الفيزياء الحيوية

الفيزياء والفلسفة

الفيزياء العامة


مواضيع عامة في الفيزياء

تجارب فيزيائية

مصطلحات وتعاريف فيزيائية

وحدات القياس الفيزيائية

طرائف الفيزياء

مواضيع اخرى
Radiation Force
المؤلف:
Sidney B. Cahn, Gerald D. Mahan And Boris E. Nadgorny
المصدر:
A GUIDE TO PHYSICS PROBLEMS
الجزء والصفحة:
part 2 , p 35
3-9-2016
1914
Radiation Force
Consider an idealized Sun and Earth, both blackbodies, in otherwise empty flat space. The Sun is at a temperature TS = 6000 K, and heat transfer by oceans and atmosphere on the Earth is so effective as to keep the Earth’s surface temperature uniform. The radius of the Earth is RE = 6.4 × 106 m, the radius of the Sun is RS = 7 × 108 m, and the Earth–Sun distance is d = 1.5 × 1011m. The mass of Sun MS = 2 × 1030 kg.
a) Find the temperature of the Earth.
d) Find the radiation force on the Earth.
c) Compare these results with those for an interplanetary “chondrule” in the form of a spherical, perfectly conducting blackbody with a radius R = 0.1 cm, moving in a circular orbit around the Sun at a radius equal to the Earth–Sun distance d.
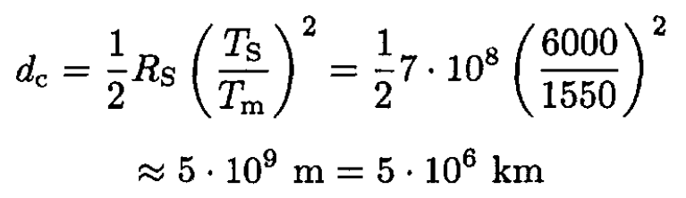
b) At what distance from the Sun would a metallic particle melt (melting temperature Tm = 1550 K)?
e) For what size particle would the radiation force calculated in (c) be equal to the gravitational force from the Sun at a distance?
SOLUTION
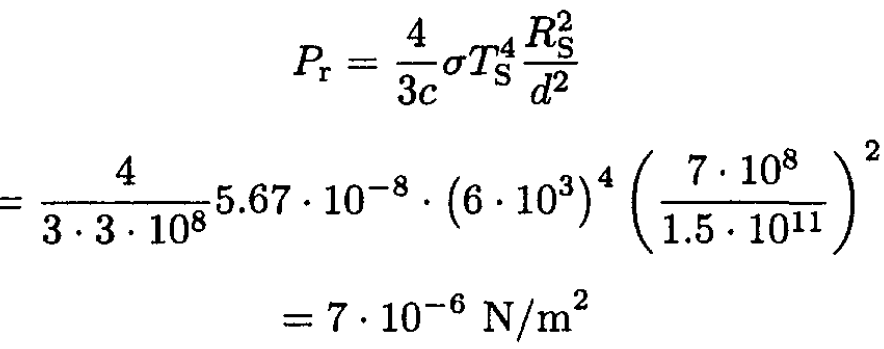
a) The total radiation flux from the Sun is
(1)
where σ is the Stefan–Boltzmann constant. Only a fraction π R2E/4πd2 of this flux reaches the Earth. In equilibrium this fraction equals the total flux radiated from the Earth at temperature TE. So
(2)
From (2) we obtain
(3)
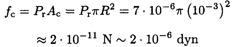
b) The radiation pressure on the Earth is given by
(4)
where (RS/d)2 is the ratio of the total flux from the Sun to the flux that reaches the Earth. The radiation force on the Earth
(5)
where AE is the cross section of the Earth.
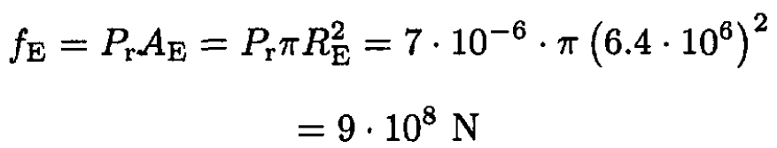
c) For the small “chondrule” the temperature will be the same because it depends only on the angle at which the Sun is seen and the radiation force:
(6)
d) Using (3) and denoting the melting temperature of the metallic particle Tm and the distance from the Sun dc, we obtain
(7)
e) Let us estimate the radius of a particle for which the radiation force will equal the gravitational force at the distance of the Earth’s orbit d. Using (6), we have
(8)
where the particle mass mp = (4/3)πr3 ρ, and ρ ~ 103 kg/m3
(9)
الاكثر قراءة في مواضيع اخرى
اخر الاخبار
اخبار العتبة العباسية المقدسة
الآخبار الصحية

قسم الشؤون الفكرية يصدر كتاباً يوثق تاريخ السدانة في العتبة العباسية المقدسة
"المهمة".. إصدار قصصي يوثّق القصص الفائزة في مسابقة فتوى الدفاع المقدسة للقصة القصيرة
(نوافذ).. إصدار أدبي يوثق القصص الفائزة في مسابقة الإمام العسكري (عليه السلام)