
تاريخ الفيزياء

علماء الفيزياء


الفيزياء الكلاسيكية

الميكانيك

الديناميكا الحرارية


الكهربائية والمغناطيسية

الكهربائية

المغناطيسية

الكهرومغناطيسية


علم البصريات

تاريخ علم البصريات

الضوء

مواضيع عامة في علم البصريات

الصوت


الفيزياء الحديثة


النظرية النسبية

النظرية النسبية الخاصة

النظرية النسبية العامة

مواضيع عامة في النظرية النسبية

ميكانيكا الكم

الفيزياء الذرية

الفيزياء الجزيئية


الفيزياء النووية

مواضيع عامة في الفيزياء النووية

النشاط الاشعاعي


فيزياء الحالة الصلبة

الموصلات

أشباه الموصلات

العوازل

مواضيع عامة في الفيزياء الصلبة

فيزياء الجوامد


الليزر

أنواع الليزر

بعض تطبيقات الليزر

مواضيع عامة في الليزر


علم الفلك

تاريخ وعلماء علم الفلك

الثقوب السوداء


المجموعة الشمسية

الشمس

كوكب عطارد

كوكب الزهرة

كوكب الأرض

كوكب المريخ

كوكب المشتري

كوكب زحل

كوكب أورانوس

كوكب نبتون

كوكب بلوتو

القمر

كواكب ومواضيع اخرى

مواضيع عامة في علم الفلك

النجوم

البلازما

الألكترونيات

خواص المادة


الطاقة البديلة

الطاقة الشمسية

مواضيع عامة في الطاقة البديلة

المد والجزر

فيزياء الجسيمات


الفيزياء والعلوم الأخرى

الفيزياء الكيميائية

الفيزياء الرياضية

الفيزياء الحيوية

الفيزياء والفلسفة

الفيزياء العامة


مواضيع عامة في الفيزياء

تجارب فيزيائية

مصطلحات وتعاريف فيزيائية

وحدات القياس الفيزيائية

طرائف الفيزياء

مواضيع اخرى
Puncture
المؤلف:
Sidney B. Cahn, Gerald D. Mahan And Boris E. Nadgorny
المصدر:
A GUIDE TO PHYSICS PROBLEMS
الجزء والصفحة:
part 2 , p 14
3-9-2016
1870
Puncture
A compressed ideal gas flows out of a small hole in a tire which has a pressure P0 inside.
a) Find the velocity of gas outside the tire in the vicinity of the hole if the flow is laminar and stationary and the pressure outside is P1.
b) Estimate this velocity for a flow of molecular hydrogen into a vacuum at a temperature T = 1000 K. Express this velocity in terms of the velocity of sound inside the tire, s0.
SOLUTION
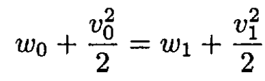
a) Use Bernoulli’s equation for an arbitrary flow line with one point inside the tire and another just outside it. We then have
(1)
where w0 and w1 are the enthalpy per unit mass inside and outside the vessel, respectively, v0 and v1 and are the velocities of the gas. The velocity v0 is very small and can be disregarded. Then the velocity of the gas outside is
(2)
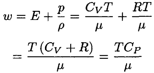
For an ideal gas the heat capacity does not depend on temperature, so we may write for the enthalpy
(3)
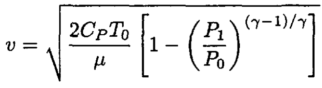
Therefore, the velocity is
(4)
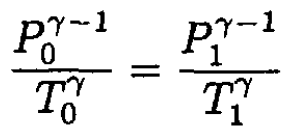
The temperature T1 may be found from the equation for adiabats and the ideal gas law:
(5)
Rewriting gives
(6)
Substituting into (4) gives
(7)
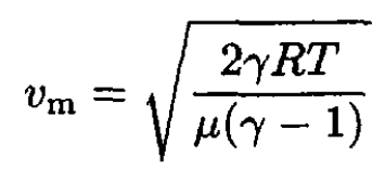
The maximum velocity vm will be reached when P1 = 0, flow into vacuum.
(8)
b) For one mole of an ideal gas
(9)
and, by definition,
(10)
From (9) and (10), we may express CV and CP through R and γ:
(11)
Then (8) becomes
(12)
For molecular hydrogen (γ = 7/5), we have

Note that this estimate implies that T1 = 0, i.e., that the gas would cool to absolute zero. This is, of course, not true; several assumptions would break down long before that. The flow during expansion into vacuum is always turbulent; the gas would condense and phase-separate and therefore would cease to be ideal. The velocity of sound inside the vessel
(13)
or
(14)
Substituting (14) into (12) yields
(15)
الاكثر قراءة في مواضيع اخرى
اخر الاخبار
اخبار العتبة العباسية المقدسة
الآخبار الصحية

قسم الشؤون الفكرية يصدر كتاباً يوثق تاريخ السدانة في العتبة العباسية المقدسة
"المهمة".. إصدار قصصي يوثّق القصص الفائزة في مسابقة فتوى الدفاع المقدسة للقصة القصيرة
(نوافذ).. إصدار أدبي يوثق القصص الفائزة في مسابقة الإمام العسكري (عليه السلام)