
تاريخ الفيزياء

علماء الفيزياء


الفيزياء الكلاسيكية

الميكانيك

الديناميكا الحرارية


الكهربائية والمغناطيسية

الكهربائية

المغناطيسية

الكهرومغناطيسية


علم البصريات

تاريخ علم البصريات

الضوء

مواضيع عامة في علم البصريات

الصوت


الفيزياء الحديثة


النظرية النسبية

النظرية النسبية الخاصة

النظرية النسبية العامة

مواضيع عامة في النظرية النسبية

ميكانيكا الكم

الفيزياء الذرية

الفيزياء الجزيئية


الفيزياء النووية

مواضيع عامة في الفيزياء النووية

النشاط الاشعاعي


فيزياء الحالة الصلبة

الموصلات

أشباه الموصلات

العوازل

مواضيع عامة في الفيزياء الصلبة

فيزياء الجوامد


الليزر

أنواع الليزر

بعض تطبيقات الليزر

مواضيع عامة في الليزر


علم الفلك

تاريخ وعلماء علم الفلك

الثقوب السوداء


المجموعة الشمسية

الشمس

كوكب عطارد

كوكب الزهرة

كوكب الأرض

كوكب المريخ

كوكب المشتري

كوكب زحل

كوكب أورانوس

كوكب نبتون

كوكب بلوتو

القمر

كواكب ومواضيع اخرى

مواضيع عامة في علم الفلك

النجوم

البلازما

الألكترونيات

خواص المادة


الطاقة البديلة

الطاقة الشمسية

مواضيع عامة في الطاقة البديلة

المد والجزر

فيزياء الجسيمات


الفيزياء والعلوم الأخرى

الفيزياء الكيميائية

الفيزياء الرياضية

الفيزياء الحيوية

الفيزياء والفلسفة

الفيزياء العامة


مواضيع عامة في الفيزياء

تجارب فيزيائية

مصطلحات وتعاريف فيزيائية

وحدات القياس الفيزيائية

طرائف الفيزياء

مواضيع اخرى
Osmotic Pressure
المؤلف:
Sidney B. Cahn, Gerald D. Mahan And Boris E. Nadgorny
المصدر:
A GUIDE TO PHYSICS PROBLEMS
الجزء والصفحة:
part 2 , p 28
30-8-2016
1903
Osmotic Pressure
Consider an ideal mixture of N0 monatomic molecules of type A and N2 monatomic molecules of type B in a volume V.

Figure 1.1
a) Calculate the free energy F(τ, V, N0, N1). Calculate the Gibbs potential G(τ, P, N0, N1). G is the Legendre transform of F with respect to V.
b) If N0 >> N1 the molecules of type A are called the solvent, and those of type B the solute. Consider two solutions with the same solvent (type A) and different concentrations of solute (type B molecules) separated by a partition through which solvent molecules can pass but solute molecules cannot (see Figure 1.1). There are N0 particles in volume V (or 2N0 in volume 2V), and N1 and N2 particles in volume V on the left and right of the membrane, respectively. Calculate the pressure difference across the membrane at a given temperature and volume. Assume that the concentrations of the solutions are small; i.e.,

and

SOLUTION
a) The free energy for a one-component ideal gas is
(1)
The Gibbs free energy
(2)
But G = G(τ, V, N), so (2) must be transformed:
(3)
If we have a mixture of two types of molecules with N0 and N1 particles each, we find for the thermodynamic potential of the mixture:
(4)
Therefore
The Gibbs potential of the mixture
(5)
where P0, P1 are partial pressures (P = P1 + P2) corresponding to particles A and B, respectively. So,
(6)
It can be seen that

namely
(7)
where N = N0 + N1.
b) To derive the pressure difference, we notice that for the system with a semipermeable membrane, only the chemical potentials of the solvent are equal, whereas the chemical potentials of the solute do not have to be (since they cannot penetrate through the membrane). We will write first the Gibbs free energy on the left and right of the membrane,
and
respectively.
will be defined by (6), with P → PL, whereas
(8)
The chemical potentials of the solvent are given by
(9)
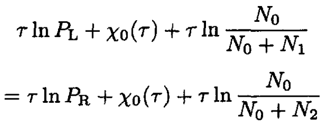
Equating μR = μL, we obtain
(10)
or
(11)
where we only take into account the first-order terms in the solute. If we also assume, which is usually the case, that the osmotic pressure is also small, i.e.,
we obtain, from (11),
(12)
where C1 and C2 are the concentrations of the solutes: C1 ≡ N1/N0; C2 ≡ N2/N0. Therefore, with the same accuracy, we arrive at the final formula:
(13)
A different derivation of this formula may be found in Landau and Lifshitz.
الاكثر قراءة في مواضيع اخرى
اخر الاخبار
اخبار العتبة العباسية المقدسة
الآخبار الصحية

قسم الشؤون الفكرية يصدر كتاباً يوثق تاريخ السدانة في العتبة العباسية المقدسة
"المهمة".. إصدار قصصي يوثّق القصص الفائزة في مسابقة فتوى الدفاع المقدسة للقصة القصيرة
(نوافذ).. إصدار أدبي يوثق القصص الفائزة في مسابقة الإمام العسكري (عليه السلام)