
تاريخ الفيزياء

علماء الفيزياء


الفيزياء الكلاسيكية

الميكانيك

الديناميكا الحرارية


الكهربائية والمغناطيسية

الكهربائية

المغناطيسية

الكهرومغناطيسية


علم البصريات

تاريخ علم البصريات

الضوء

مواضيع عامة في علم البصريات

الصوت


الفيزياء الحديثة


النظرية النسبية

النظرية النسبية الخاصة

النظرية النسبية العامة

مواضيع عامة في النظرية النسبية

ميكانيكا الكم

الفيزياء الذرية

الفيزياء الجزيئية


الفيزياء النووية

مواضيع عامة في الفيزياء النووية

النشاط الاشعاعي


فيزياء الحالة الصلبة

الموصلات

أشباه الموصلات

العوازل

مواضيع عامة في الفيزياء الصلبة

فيزياء الجوامد


الليزر

أنواع الليزر

بعض تطبيقات الليزر

مواضيع عامة في الليزر


علم الفلك

تاريخ وعلماء علم الفلك

الثقوب السوداء


المجموعة الشمسية

الشمس

كوكب عطارد

كوكب الزهرة

كوكب الأرض

كوكب المريخ

كوكب المشتري

كوكب زحل

كوكب أورانوس

كوكب نبتون

كوكب بلوتو

القمر

كواكب ومواضيع اخرى

مواضيع عامة في علم الفلك

النجوم

البلازما

الألكترونيات

خواص المادة


الطاقة البديلة

الطاقة الشمسية

مواضيع عامة في الطاقة البديلة

المد والجزر

فيزياء الجسيمات


الفيزياء والعلوم الأخرى

الفيزياء الكيميائية

الفيزياء الرياضية

الفيزياء الحيوية

الفيزياء والفلسفة

الفيزياء العامة


مواضيع عامة في الفيزياء

تجارب فيزيائية

مصطلحات وتعاريف فيزيائية

وحدات القياس الفيزيائية

طرائف الفيزياء

مواضيع اخرى
Nonrelativistic Electron Gas
المؤلف:
Sidney B. Cahn, Gerald D. Mahan And Boris E. Nadgorny
المصدر:
A GUIDE TO PHYSICS PROBLEMS
الجزء والصفحة:
part 2 , p 32
30-8-2016
1786
Nonrelativistic Electron Gas
a) Derive the relation between pressure and volume of a free nonrelativistic electron gas at zero temperature.
b) The formula obtained in (a) is approximately correct for sufficiently low temperatures (the so-called strongly degenerate gas). Discuss the applicability of this formula to common metals.
SOLUTION
a) As τ → 0, the Fermi-Dirac distribution function
(1)

Figure 1.1
becomes a step function. All the states above a certain energy, ε > μ, are empty, and the states below, ε < μ, are filled (see Figure 1.1). This energy for an electron gas is called the Fermi energy. Physically, this results from the simple fact that the total energy of the gas should be a minimum. However, we have to reconcile this with the Pauli principle, which prohibits more than one electron per quantum state (i.e., same momentum and spin). This means that the states are filled gradually from zero energy to the limiting energy, εF. The number of states accessible to a free particle with absolute value of momentum between p and p + dp is
(2)
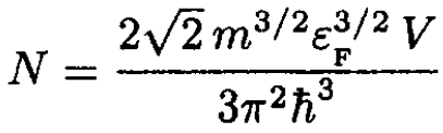
In each of these states, we can put two electrons with opposite spin (up and down), so if we consider the total number of electrons, N, contained in a box of volume V, then N is given by
(3)
Substituting p2/2m = ε, we obtain
(4)
and therefore
(5)
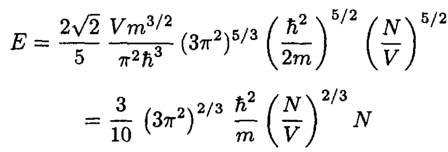
To calculate the total energy of the gas, we can write

where again 
(6)
and therefore
(7)
and we can check that
(8)
b) The condition for strong degeneracy is that the temperature τ should be much smaller than the Fermi energy:
(9)
For typical metals, if we assume that there is one free electron per atom and a typical interatomic distance
we obtain an electron density N/V
which indicates a Fermi energy of the order of
So, most of the metals are strongly degenerate, even at room temperature.
الاكثر قراءة في مواضيع اخرى
اخر الاخبار
اخبار العتبة العباسية المقدسة
الآخبار الصحية

قسم الشؤون الفكرية يصدر كتاباً يوثق تاريخ السدانة في العتبة العباسية المقدسة
"المهمة".. إصدار قصصي يوثّق القصص الفائزة في مسابقة فتوى الدفاع المقدسة للقصة القصيرة
(نوافذ).. إصدار أدبي يوثق القصص الفائزة في مسابقة الإمام العسكري (عليه السلام)