
تاريخ الفيزياء

علماء الفيزياء


الفيزياء الكلاسيكية

الميكانيك

الديناميكا الحرارية


الكهربائية والمغناطيسية

الكهربائية

المغناطيسية

الكهرومغناطيسية


علم البصريات

تاريخ علم البصريات

الضوء

مواضيع عامة في علم البصريات

الصوت


الفيزياء الحديثة


النظرية النسبية

النظرية النسبية الخاصة

النظرية النسبية العامة

مواضيع عامة في النظرية النسبية

ميكانيكا الكم

الفيزياء الذرية

الفيزياء الجزيئية


الفيزياء النووية

مواضيع عامة في الفيزياء النووية

النشاط الاشعاعي


فيزياء الحالة الصلبة

الموصلات

أشباه الموصلات

العوازل

مواضيع عامة في الفيزياء الصلبة

فيزياء الجوامد


الليزر

أنواع الليزر

بعض تطبيقات الليزر

مواضيع عامة في الليزر


علم الفلك

تاريخ وعلماء علم الفلك

الثقوب السوداء


المجموعة الشمسية

الشمس

كوكب عطارد

كوكب الزهرة

كوكب الأرض

كوكب المريخ

كوكب المشتري

كوكب زحل

كوكب أورانوس

كوكب نبتون

كوكب بلوتو

القمر

كواكب ومواضيع اخرى

مواضيع عامة في علم الفلك

النجوم

البلازما

الألكترونيات

خواص المادة


الطاقة البديلة

الطاقة الشمسية

مواضيع عامة في الطاقة البديلة

المد والجزر

فيزياء الجسيمات


الفيزياء والعلوم الأخرى

الفيزياء الكيميائية

الفيزياء الرياضية

الفيزياء الحيوية

الفيزياء والفلسفة

الفيزياء العامة


مواضيع عامة في الفيزياء

تجارب فيزيائية

مصطلحات وتعاريف فيزيائية

وحدات القياس الفيزيائية

طرائف الفيزياء

مواضيع اخرى
Magic Carpet
المؤلف:
Sidney B. Cahn, Gerald D. Mahan And Boris E. Nadgorny
المصدر:
A GUIDE TO PHYSICS PROBLEMS
الجزء والصفحة:
part 2 , p 5
30-8-2016
1544
Magic Carpet
Once sitting in heavy traffic, Baron von Münchausen thought of a new kind of “magic carpet” type aircraft (see Figure 1.1). The upper surface of the large flat panel is held at a constant temperature T1 and the lower surface at a temperature T2 > T1. He reasoned that, during collision with the hot surface, air molecules acquire additional momentum and therefore will transfer an equal momentum to the panel. The back of the handkerchief estimates he was able to make quickly for 1 m2 of such a panel showed that if T1 = 273 K and T2 = 373 K (air temperature 293 K) this panel would be able to levitate itself and a payload (the Baron) of about 103 kg. How did he arrive at this? Is it really possible?

Figure 1.1
SOLUTION
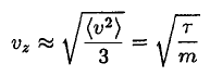
First let us try to reproduce the line of reasoning the Baron was likely to follow. He must have argued that in the z direction the average velocity of a molecule of mass m is

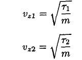
If we consider that during the collision the molecules thermalize, then the average velocities after reflection from the upper and lower surfaces become


Figure 1.2
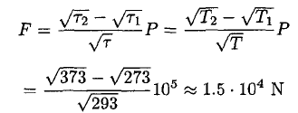
The forces due to the striking of the molecules on the upper and lower surfaces are, respectively, |F1| and |F2| (see Figure 1.2):

Where n is the concentration of the air molecules, and we have used the fact that the number of molecules colliding with 1 m2 of the surface per second is approximately n(v) (the exact number is n (v)/4). The net resulting force ∆F is

Substituting for n = P/τ, we have

Unfortunately, this estimate is totally wrong since it assumes that the concentration of molecules is the same above and below the panel, whereas it would be higher near the cold surface and lower near the hot surface to ensure the same pressure above and below. That’s why irons don’t fly.
الاكثر قراءة في مواضيع اخرى
اخر الاخبار
اخبار العتبة العباسية المقدسة
الآخبار الصحية

قسم الشؤون الفكرية يصدر كتاباً يوثق تاريخ السدانة في العتبة العباسية المقدسة
"المهمة".. إصدار قصصي يوثّق القصص الفائزة في مسابقة فتوى الدفاع المقدسة للقصة القصيرة
(نوافذ).. إصدار أدبي يوثق القصص الفائزة في مسابقة الإمام العسكري (عليه السلام)