
تاريخ الفيزياء

علماء الفيزياء


الفيزياء الكلاسيكية

الميكانيك

الديناميكا الحرارية


الكهربائية والمغناطيسية

الكهربائية

المغناطيسية

الكهرومغناطيسية


علم البصريات

تاريخ علم البصريات

الضوء

مواضيع عامة في علم البصريات

الصوت


الفيزياء الحديثة


النظرية النسبية

النظرية النسبية الخاصة

النظرية النسبية العامة

مواضيع عامة في النظرية النسبية

ميكانيكا الكم

الفيزياء الذرية

الفيزياء الجزيئية


الفيزياء النووية

مواضيع عامة في الفيزياء النووية

النشاط الاشعاعي


فيزياء الحالة الصلبة

الموصلات

أشباه الموصلات

العوازل

مواضيع عامة في الفيزياء الصلبة

فيزياء الجوامد


الليزر

أنواع الليزر

بعض تطبيقات الليزر

مواضيع عامة في الليزر


علم الفلك

تاريخ وعلماء علم الفلك

الثقوب السوداء


المجموعة الشمسية

الشمس

كوكب عطارد

كوكب الزهرة

كوكب الأرض

كوكب المريخ

كوكب المشتري

كوكب زحل

كوكب أورانوس

كوكب نبتون

كوكب بلوتو

القمر

كواكب ومواضيع اخرى

مواضيع عامة في علم الفلك

النجوم

البلازما

الألكترونيات

خواص المادة


الطاقة البديلة

الطاقة الشمسية

مواضيع عامة في الطاقة البديلة

المد والجزر

فيزياء الجسيمات


الفيزياء والعلوم الأخرى

الفيزياء الكيميائية

الفيزياء الرياضية

الفيزياء الحيوية

الفيزياء والفلسفة

الفيزياء العامة


مواضيع عامة في الفيزياء

تجارب فيزيائية

مصطلحات وتعاريف فيزيائية

وحدات القياس الفيزيائية

طرائف الفيزياء

مواضيع اخرى
Gas Adsorption
المؤلف:
Sidney B. Cahn, Gerald D. Mahan And Boris E. Nadgorny
المصدر:
A GUIDE TO PHYSICS PROBLEMS
الجزء والصفحة:
part 2 , p 47
29-8-2016
2073
Gas Adsorption
Consider a vapor (dilute monatomic gas) in equilibrium with a submonolayer (i.e., less than one atomic layer) of atoms adsorbed on a surface. Model the binding of atoms to the surface by a potential energy V = -ε0. Assume there are N0 possible sites for adsorption, and find the vapor pressure as a function of surface concentration θ = N/N0 (N is the number of adsorbed particles).
SOLUTION
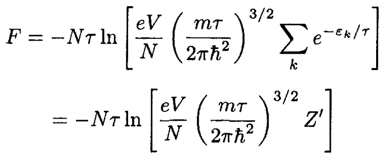
For two systems in equilibrium, the chemical potentials should be equal. Consider one of the systems as an ideal gas (vapor) in a volume, and another as a surface submonolayer film. For an ideal gas the free energy F is given by
(1)
where εk and Z' correspond to the energy states and statistical sum associated with the internal degrees of freedom. If the temperature is reasonably small, τ << τion, where τion corresponds to the ionization energy of the atoms, so that the atoms are not ionized and mostly in the ground state, and this state is nondegenerate, we can take Z' = 1, and then (1) becomes
(2)
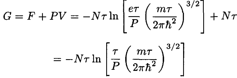
The Gibbs free energy G is given by
(3)
where we have expressed G as a function of P and τ, using PV = Nτ. The chemical potential μ = G/N, so
(4)
Now, consider an adsorption site: we can apply a Gibbs distribution with a variable number of particles to this site:
(5)
where the possible occupational numbers of the site for a submonolayer n = 0,1 (site is empty, site is occupied), with energy E0n = -nε0. Performing the sums, we have
(6)
The average number of particles per site 〈n〉 may be written
(7)
The total number of adsorbed particles N is given by
(8)
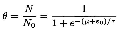
The surface concentration θ is simply
(9)
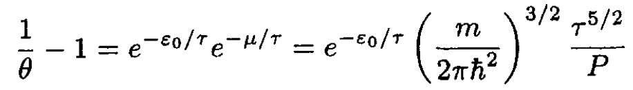
Substituting μ for an ideal gas from (4) into (9), we have
(10)
and
(11)
where
(12)
(9) can also be derived by considering the canonical ensemble. The number of possible ways of distributing N atoms among N0 sites is

The partition function is then
(13)
and the average number of particles
(14)
the same as (8).
الاكثر قراءة في مواضيع اخرى
اخر الاخبار
اخبار العتبة العباسية المقدسة
الآخبار الصحية

قسم الشؤون الفكرية يصدر كتاباً يوثق تاريخ السدانة في العتبة العباسية المقدسة
"المهمة".. إصدار قصصي يوثّق القصص الفائزة في مسابقة فتوى الدفاع المقدسة للقصة القصيرة
(نوافذ).. إصدار أدبي يوثق القصص الفائزة في مسابقة الإمام العسكري (عليه السلام)