
تاريخ الفيزياء

علماء الفيزياء


الفيزياء الكلاسيكية

الميكانيك

الديناميكا الحرارية


الكهربائية والمغناطيسية

الكهربائية

المغناطيسية

الكهرومغناطيسية


علم البصريات

تاريخ علم البصريات

الضوء

مواضيع عامة في علم البصريات

الصوت


الفيزياء الحديثة


النظرية النسبية

النظرية النسبية الخاصة

النظرية النسبية العامة

مواضيع عامة في النظرية النسبية

ميكانيكا الكم

الفيزياء الذرية

الفيزياء الجزيئية


الفيزياء النووية

مواضيع عامة في الفيزياء النووية

النشاط الاشعاعي


فيزياء الحالة الصلبة

الموصلات

أشباه الموصلات

العوازل

مواضيع عامة في الفيزياء الصلبة

فيزياء الجوامد


الليزر

أنواع الليزر

بعض تطبيقات الليزر

مواضيع عامة في الليزر


علم الفلك

تاريخ وعلماء علم الفلك

الثقوب السوداء


المجموعة الشمسية

الشمس

كوكب عطارد

كوكب الزهرة

كوكب الأرض

كوكب المريخ

كوكب المشتري

كوكب زحل

كوكب أورانوس

كوكب نبتون

كوكب بلوتو

القمر

كواكب ومواضيع اخرى

مواضيع عامة في علم الفلك

النجوم

البلازما

الألكترونيات

خواص المادة


الطاقة البديلة

الطاقة الشمسية

مواضيع عامة في الطاقة البديلة

المد والجزر

فيزياء الجسيمات


الفيزياء والعلوم الأخرى

الفيزياء الكيميائية

الفيزياء الرياضية

الفيزياء الحيوية

الفيزياء والفلسفة

الفيزياء العامة


مواضيع عامة في الفيزياء

تجارب فيزيائية

مصطلحات وتعاريف فيزيائية

وحدات القياس الفيزيائية

طرائف الفيزياء

مواضيع اخرى
Equipartition Theorem
المؤلف:
Sidney B. Cahn, Gerald D. Mahan And Boris E. Nadgorny
المصدر:
A GUIDE TO PHYSICS PROBLEMS
الجزء والصفحة:
part 2 , p 21
26-8-2016
1909
Equipartition Theorem
a) For a classical system with Hamiltonian

at a temperature τ, show that

b) Using the above, derive the law of Dulong and Petit for the heat capacity of a harmonic crystal.
c) For a more general Hamiltonian,

prove the generalized equipartition theorem:

where x1 = q1,…, xN = qN, xN+1 = p1,…,x2N = pN. You will need to use the fact that U is infinite at qi = ±∞.
d) Consider a system of a large number of classical particles and assume a general dependence of the energy of each particle on the generalized coordinate or momentum component q given by ε (q) where

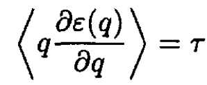
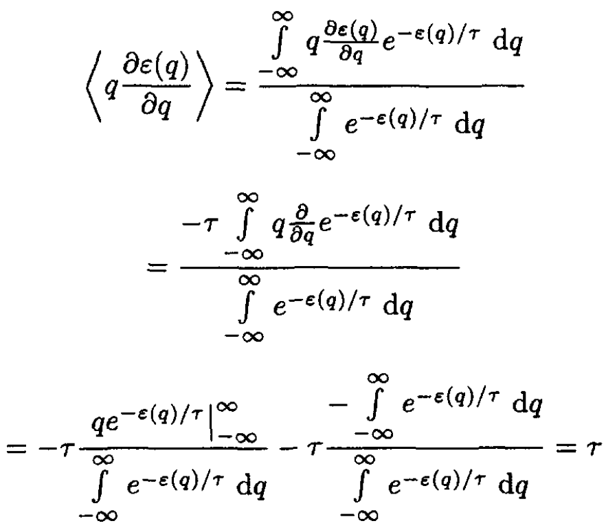
Show that, in thermal equilibrium, the generalized equipartition theorem holds:

What conditions should be satisfied ε (q) for to conform to the equipartition theorem?
SOLUTION
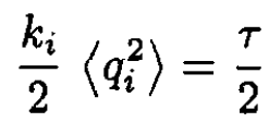
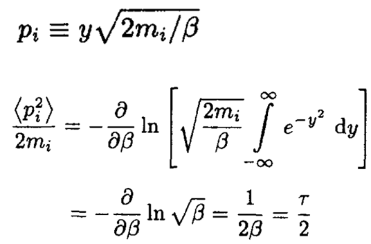
a) For both of these averages the method is identical, since the Hamiltonian depends on the same power of either or q. Compose the first average as follows:
(1)
where the energy is broken into the pi - dependent term and E', the rest of the sum. The second integrals in the numerator and denominator cancel, so the remaining expression may be written
(2)
where, as usual, β ≡ 1/τ. A change of variables produces a piece dependent on β and an integral that is not:
(3)
The (ki/2) 〈q2i〉 average proceeds in precisely the same way, yielding
(4)
b) The heat capacity, CV, at constant volume is equal to ∂E/∂τ. From part (a), we have
(5)
where we now sum over the 3-space and momentum degrees of freedom per atom. The heat capacity,
(6)
is the law of Dulong and Petit.
c) Now take the average:
(7)
Integration by parts yields
(8)
where the prime on the product sign in the first term indicates that we integrate over all xi except i = j. If i ≠ j, then the first term in the numerator equals zero. If xj is one of the q's, then by the assumption of U infinite, the term still equals zero. Finally, if i = j > N ,then by l’Hôpital’s rule the first term again gives zero. In the second term, ∂xi/∂xj = δij, so the expression reduces to
(9)
Finally,
(10)
d) By definition,
(11)
Given a polynomial dependence of the energy on the generalized coordinate:
(12)
(11) yields
(13)
To satisfy the equipartition theorem:
(14)
Thus, we should have n = 2.
الاكثر قراءة في مواضيع اخرى
اخر الاخبار
اخبار العتبة العباسية المقدسة
الآخبار الصحية

قسم الشؤون الفكرية يصدر كتاباً يوثق تاريخ السدانة في العتبة العباسية المقدسة
"المهمة".. إصدار قصصي يوثّق القصص الفائزة في مسابقة فتوى الدفاع المقدسة للقصة القصيرة
(نوافذ).. إصدار أدبي يوثق القصص الفائزة في مسابقة الإمام العسكري (عليه السلام)