
تاريخ الفيزياء

علماء الفيزياء


الفيزياء الكلاسيكية

الميكانيك

الديناميكا الحرارية


الكهربائية والمغناطيسية

الكهربائية

المغناطيسية

الكهرومغناطيسية


علم البصريات

تاريخ علم البصريات

الضوء

مواضيع عامة في علم البصريات

الصوت


الفيزياء الحديثة


النظرية النسبية

النظرية النسبية الخاصة

النظرية النسبية العامة

مواضيع عامة في النظرية النسبية

ميكانيكا الكم

الفيزياء الذرية

الفيزياء الجزيئية


الفيزياء النووية

مواضيع عامة في الفيزياء النووية

النشاط الاشعاعي


فيزياء الحالة الصلبة

الموصلات

أشباه الموصلات

العوازل

مواضيع عامة في الفيزياء الصلبة

فيزياء الجوامد


الليزر

أنواع الليزر

بعض تطبيقات الليزر

مواضيع عامة في الليزر


علم الفلك

تاريخ وعلماء علم الفلك

الثقوب السوداء


المجموعة الشمسية

الشمس

كوكب عطارد

كوكب الزهرة

كوكب الأرض

كوكب المريخ

كوكب المشتري

كوكب زحل

كوكب أورانوس

كوكب نبتون

كوكب بلوتو

القمر

كواكب ومواضيع اخرى

مواضيع عامة في علم الفلك

النجوم

البلازما

الألكترونيات

خواص المادة


الطاقة البديلة

الطاقة الشمسية

مواضيع عامة في الطاقة البديلة

المد والجزر

فيزياء الجسيمات


الفيزياء والعلوم الأخرى

الفيزياء الكيميائية

الفيزياء الرياضية

الفيزياء الحيوية

الفيزياء والفلسفة

الفيزياء العامة


مواضيع عامة في الفيزياء

تجارب فيزيائية

مصطلحات وتعاريف فيزيائية

وحدات القياس الفيزيائية

طرائف الفيزياء

مواضيع اخرى
Cylinder and Heat Bath
المؤلف:
Sidney B. Cahn, Gerald D. Mahan And Boris E. Nadgorny
المصدر:
A GUIDE TO PHYSICS PROBLEMS
الجزء والصفحة:
part 2 , p 16
25-8-2016
1923
Cylinder and Heat Bath
Consider a cylinder 1 m long with a thin, massless piston clamped in such a way that it divides the cylinder into two equal parts. The cylinder is in a large heat bath at T = 300K. The left side of the cylinder contains 1 mole of helium gas at 4 atm. The right contains helium gas at a pressure of 1 atm. Let the piston be released.
a) What is its final equilibrium position?
b) How much heat will be transmitted to the bath in the process of equilibration? (Note that R = 8.3 J/mole K).
SOLUTION
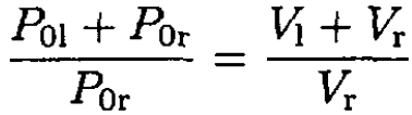
a) Since the process takes place at constant temperature, PV is constant for each side of the piston. When the piston is released, we can write
(1)
where P01 and P0r are the initial pressures on the left and right sides of the cylinder, respectively, P is the final pressure on both sides of the cylinder, and V1 and Vr are the final volumes. From (1), we have
(2)
or
(3)
Therefore,
(4)
So, the piston winds up 20 cm from the right wall of the cylinder.
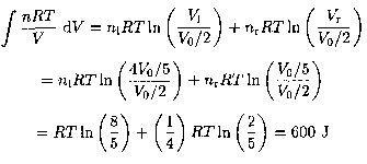
b) The energy of the ideal gas does not change in the isothermal process, so all the work done by the gas goes into heating the reservoir. Denoting by n1 and nr the number of moles on the left and right sides of the cylinder, respectively, and using nr = 1/4 mole, we obtain the total work and, hence, heat given by the integral

الاكثر قراءة في مواضيع اخرى
اخر الاخبار
اخبار العتبة العباسية المقدسة
الآخبار الصحية

قسم الشؤون الفكرية يصدر كتاباً يوثق تاريخ السدانة في العتبة العباسية المقدسة
"المهمة".. إصدار قصصي يوثّق القصص الفائزة في مسابقة فتوى الدفاع المقدسة للقصة القصيرة
(نوافذ).. إصدار أدبي يوثق القصص الفائزة في مسابقة الإمام العسكري (عليه السلام)