
تاريخ الفيزياء

علماء الفيزياء


الفيزياء الكلاسيكية

الميكانيك

الديناميكا الحرارية


الكهربائية والمغناطيسية

الكهربائية

المغناطيسية

الكهرومغناطيسية


علم البصريات

تاريخ علم البصريات

الضوء

مواضيع عامة في علم البصريات

الصوت


الفيزياء الحديثة


النظرية النسبية

النظرية النسبية الخاصة

النظرية النسبية العامة

مواضيع عامة في النظرية النسبية

ميكانيكا الكم

الفيزياء الذرية

الفيزياء الجزيئية


الفيزياء النووية

مواضيع عامة في الفيزياء النووية

النشاط الاشعاعي


فيزياء الحالة الصلبة

الموصلات

أشباه الموصلات

العوازل

مواضيع عامة في الفيزياء الصلبة

فيزياء الجوامد


الليزر

أنواع الليزر

بعض تطبيقات الليزر

مواضيع عامة في الليزر


علم الفلك

تاريخ وعلماء علم الفلك

الثقوب السوداء


المجموعة الشمسية

الشمس

كوكب عطارد

كوكب الزهرة

كوكب الأرض

كوكب المريخ

كوكب المشتري

كوكب زحل

كوكب أورانوس

كوكب نبتون

كوكب بلوتو

القمر

كواكب ومواضيع اخرى

مواضيع عامة في علم الفلك

النجوم

البلازما

الألكترونيات

خواص المادة


الطاقة البديلة

الطاقة الشمسية

مواضيع عامة في الطاقة البديلة

المد والجزر

فيزياء الجسيمات


الفيزياء والعلوم الأخرى

الفيزياء الكيميائية

الفيزياء الرياضية

الفيزياء الحيوية

الفيزياء والفلسفة

الفيزياء العامة


مواضيع عامة في الفيزياء

تجارب فيزيائية

مصطلحات وتعاريف فيزيائية

وحدات القياس الفيزيائية

طرائف الفيزياء

مواضيع اخرى
Critical Field in Superconductor
المؤلف:
Sidney B. Cahn, Gerald D. Mahan And Boris E. Nadgorny
المصدر:
A GUIDE TO PHYSICS PROBLEMS
الجزء والصفحة:
part 2 , p 49
25-8-2016
2124
Critical Field in Superconductor
Consider a massive cylinder of volume V made of a type I superconducting material in a magnetic field parallel to its axis.
a) Using the fact that the superconducting state displays perfect diamagnetism, whereas the normal state has negligible magnetic susceptibility, show that the entropy discontinuity across the phase boundary is at zero field H:

where Hc(τ) is the critical H field for suppressing superconductivity at a temperature τ.
b) What is the latent heat when the transition occurs in a field?
c) What is the specific heat discontinuity in zero field?
SOLUTION
a) If the external field is smaller than the critical field, H < HC, then the B-field inside the superconductor is zero, B = 0, and the magnetization M becomes
(1)
This means that the superconductor displays perfect diamagnetism (with magnetic susceptibility χ = -1/4π). The change in free energy of the
superconductor due to the increase of the external field H may be written as δF = -V . M . dH = (V/4π)H . dH. Therefore, the free energy of the superconductor in a field is given by
(2)
The transition to a normal state occurs when the free energy of the superconducting state is equal to that of the normal state:
(3)
Here we used the fact that, because of the negligible magnetic susceptibility, the free energy of the normal state practically does not depend on the applied field. So, we have
(4)
where HC ≡ HC(τ). Now, it is easy to calculate the entropy discontinuity since
(5)
so
(6)
If we recall that the dependence of the critical field on the temperature can be approximated by the formula HC(τ) = H(0)[1 – t2], where t ≡ τ/τc then we can confirm that a superconducting state is a more ordered state, since ∂HC/∂τ < 0 and hence Sn > Ss.
b) The latent heat q, if the transition occurs at a constant temperature, is given by q = τ(Sn – Ss). If the transition is from superconducting to normal, then
(7)
So, if we have a transition from the superconducting to normal states, then heat is absorbed.
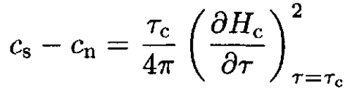
c) The specific heat is defined as C = τ(∂S/∂τ). Here we disregard any volume and pressure changes due to the transition. Hence, from equation (6), the specific heat per volume discontinuity is
(8)
At zero field the transition is of second order and Hc(τc) = 0, so the specific heat per unit volume discontinuity at τ = τc from (8) is
(9)
الاكثر قراءة في مواضيع اخرى
اخر الاخبار
اخبار العتبة العباسية المقدسة
الآخبار الصحية

قسم الشؤون الفكرية يصدر كتاباً يوثق تاريخ السدانة في العتبة العباسية المقدسة
"المهمة".. إصدار قصصي يوثّق القصص الفائزة في مسابقة فتوى الدفاع المقدسة للقصة القصيرة
(نوافذ).. إصدار أدبي يوثق القصص الفائزة في مسابقة الإمام العسكري (عليه السلام)