
تاريخ الفيزياء

علماء الفيزياء


الفيزياء الكلاسيكية

الميكانيك

الديناميكا الحرارية


الكهربائية والمغناطيسية

الكهربائية

المغناطيسية

الكهرومغناطيسية


علم البصريات

تاريخ علم البصريات

الضوء

مواضيع عامة في علم البصريات

الصوت


الفيزياء الحديثة


النظرية النسبية

النظرية النسبية الخاصة

النظرية النسبية العامة

مواضيع عامة في النظرية النسبية

ميكانيكا الكم

الفيزياء الذرية

الفيزياء الجزيئية


الفيزياء النووية

مواضيع عامة في الفيزياء النووية

النشاط الاشعاعي


فيزياء الحالة الصلبة

الموصلات

أشباه الموصلات

العوازل

مواضيع عامة في الفيزياء الصلبة

فيزياء الجوامد


الليزر

أنواع الليزر

بعض تطبيقات الليزر

مواضيع عامة في الليزر


علم الفلك

تاريخ وعلماء علم الفلك

الثقوب السوداء


المجموعة الشمسية

الشمس

كوكب عطارد

كوكب الزهرة

كوكب الأرض

كوكب المريخ

كوكب المشتري

كوكب زحل

كوكب أورانوس

كوكب نبتون

كوكب بلوتو

القمر

كواكب ومواضيع اخرى

مواضيع عامة في علم الفلك

النجوم

البلازما

الألكترونيات

خواص المادة


الطاقة البديلة

الطاقة الشمسية

مواضيع عامة في الطاقة البديلة

المد والجزر

فيزياء الجسيمات


الفيزياء والعلوم الأخرى

الفيزياء الكيميائية

الفيزياء الرياضية

الفيزياء الحيوية

الفيزياء والفلسفة

الفيزياء العامة


مواضيع عامة في الفيزياء

تجارب فيزيائية

مصطلحات وتعاريف فيزيائية

وحدات القياس الفيزيائية

طرائف الفيزياء

مواضيع اخرى
Two-Delta-Function Scattering
المؤلف:
Sidney B. Cahn, Gerald D. Mahan And Boris E. Nadgorny
المصدر:
A GUIDE TO PHYSICS PROBLEMS
الجزء والصفحة:
part 2 , p 76
23-8-2016
1998
Two-Delta-Function Scattering
A free particle of mass m, traveling with momentum parallel to the z-axis, scatters off the potential

Calculate the differential scattering cross section, dσ/dΩ, in the Born approximation. Does this approximation provide a reasonable description for scattering from this potential? In other words, is it valid to use unperturbed wave functions in the scattering amplitude?
SOLUTION
Let us take an unperturbed wave function of the particle of the form
(1)

Figure 1.1
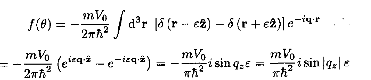
Suppose that, after scattering, the wave vector becomes k'. In the Born approximation, the scattering amplitude f (θ) is
(2)
where q = k' - k and q = 2k sin(θ/2) (see Figure 1.1). Substituting the potential V(r) into (2), we obtain
(3)
where qz = -q sin(θ/2) = -2ksin2(θ/2) is the projection of the vector q on the z axis. The scattering cross section
(4)
In order to apply the Born approximation, i.e., to use perturbation theory, we must satisfy at least one of two conditions:
(5)
(6)
where a = ε is the range of the potential. The first condition derives from the requirement that the perturbed wave function be very close to the unperturbed wave function. Inequality (5) may also be considered the requirement that the potential be small compared to the kinetic energy of the particle localized at the source of the perturbation. Even if the first condition is not satisfied, particles with large enough p will also justify the Born approximation.
الاكثر قراءة في مواضيع اخرى
اخر الاخبار
اخبار العتبة العباسية المقدسة
الآخبار الصحية

قسم الشؤون الفكرية يصدر كتاباً يوثق تاريخ السدانة في العتبة العباسية المقدسة
"المهمة".. إصدار قصصي يوثّق القصص الفائزة في مسابقة فتوى الدفاع المقدسة للقصة القصيرة
(نوافذ).. إصدار أدبي يوثق القصص الفائزة في مسابقة الإمام العسكري (عليه السلام)