
تاريخ الفيزياء

علماء الفيزياء


الفيزياء الكلاسيكية

الميكانيك

الديناميكا الحرارية


الكهربائية والمغناطيسية

الكهربائية

المغناطيسية

الكهرومغناطيسية


علم البصريات

تاريخ علم البصريات

الضوء

مواضيع عامة في علم البصريات

الصوت


الفيزياء الحديثة


النظرية النسبية

النظرية النسبية الخاصة

النظرية النسبية العامة

مواضيع عامة في النظرية النسبية

ميكانيكا الكم

الفيزياء الذرية

الفيزياء الجزيئية


الفيزياء النووية

مواضيع عامة في الفيزياء النووية

النشاط الاشعاعي


فيزياء الحالة الصلبة

الموصلات

أشباه الموصلات

العوازل

مواضيع عامة في الفيزياء الصلبة

فيزياء الجوامد


الليزر

أنواع الليزر

بعض تطبيقات الليزر

مواضيع عامة في الليزر


علم الفلك

تاريخ وعلماء علم الفلك

الثقوب السوداء


المجموعة الشمسية

الشمس

كوكب عطارد

كوكب الزهرة

كوكب الأرض

كوكب المريخ

كوكب المشتري

كوكب زحل

كوكب أورانوس

كوكب نبتون

كوكب بلوتو

القمر

كواكب ومواضيع اخرى

مواضيع عامة في علم الفلك

النجوم

البلازما

الألكترونيات

خواص المادة


الطاقة البديلة

الطاقة الشمسية

مواضيع عامة في الطاقة البديلة

المد والجزر

فيزياء الجسيمات


الفيزياء والعلوم الأخرى

الفيزياء الكيميائية

الفيزياء الرياضية

الفيزياء الحيوية

الفيزياء والفلسفة

الفيزياء العامة


مواضيع عامة في الفيزياء

تجارب فيزيائية

مصطلحات وتعاريف فيزيائية

وحدات القياس الفيزيائية

طرائف الفيزياء

مواضيع اخرى
Relativistic Oscillator
المؤلف:
Sidney B. Cahn, Gerald D. Mahan And Boris E. Nadgorny
المصدر:
A GUIDE TO PHYSICS PROBLEMS
الجزء والصفحة:
part 2 , p 68
21-8-2016
1918
Relativistic Oscillator
Consider a spineless particle in a one-dimensional harmonic oscillator potential:

a) Calculate leading relativistic corrections to the ground state to first order in perturbation theory.
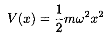
b) Consider an anharmonic classical oscillator with

For what values of α will the leading corrections be the same as in (a)?
SOLUTION
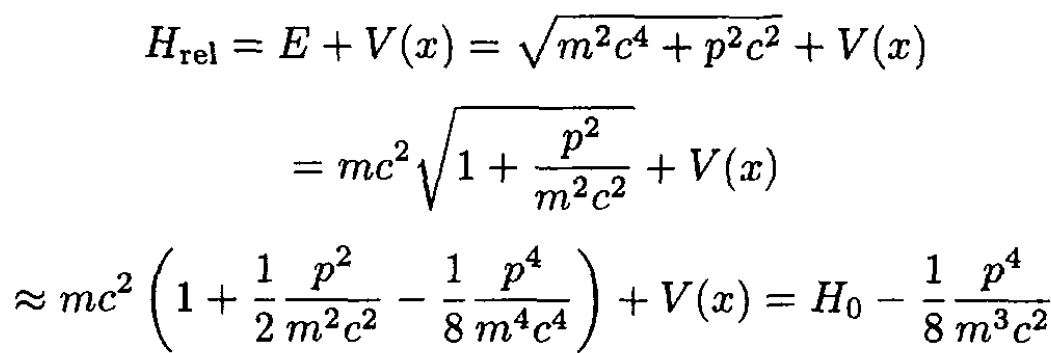
a) The classical Hamiltonian is given by H0 = p2/2m + V(x), whereas the relativistic Hamiltonian may be expanded as follows:
(1)
The perturbation to the classical Hamiltonian is therefore

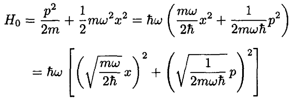
First solution: For the nonrelativistic quantum harmonic oscillator, we have
(2)
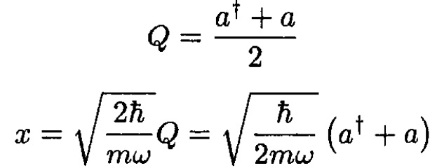
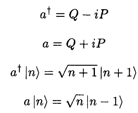
where x, p are operators. Defining new operators Q, P,

and noting the commutation relations

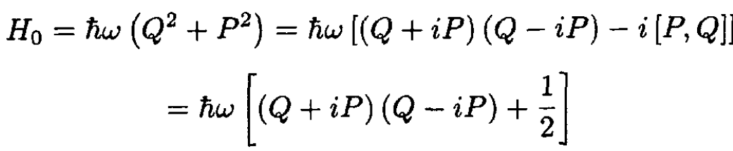
we may rewrite (2) as
(3)
Introducing the standard creation and annihilation operators:
(4)
we find that

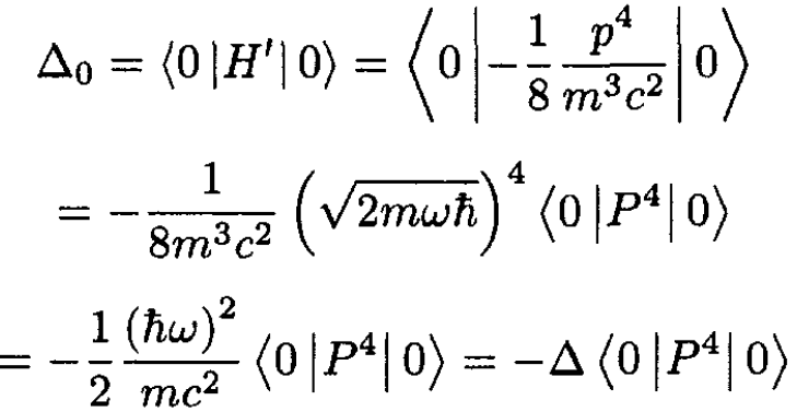
Using these results, we may express the first-order energy shift ∆0 as
(5)
where

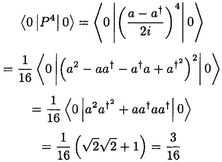
The expansion of 〈0|P4|0〉 is simplified by the fact that a|0〉 = 0, so
(6)
Finally, we obtain

Second solution: Instead of using operator algebra, we can find a wave function a(p) in the momentum representation, where
(6)
The Hamiltonian then is
(7)
The Schrodinger equation for a(p) becomes
(8)
This equation has exactly the same form as the standard oscillator Schrodinger equation:
(9)
We then obtain for the momentum probability distribution for the ground state:
(10)
Therefore
(11)
where A ≡ -1/8m3c2. Using the old “differentiate with respect to an innocent parameter method” of simplifying an integral, we may rewrite ∆0 as
(12)
where we substituted (10) into (11) and let ζ ≡ 1/mωh. Finally,
(13)
as found in the first solution.
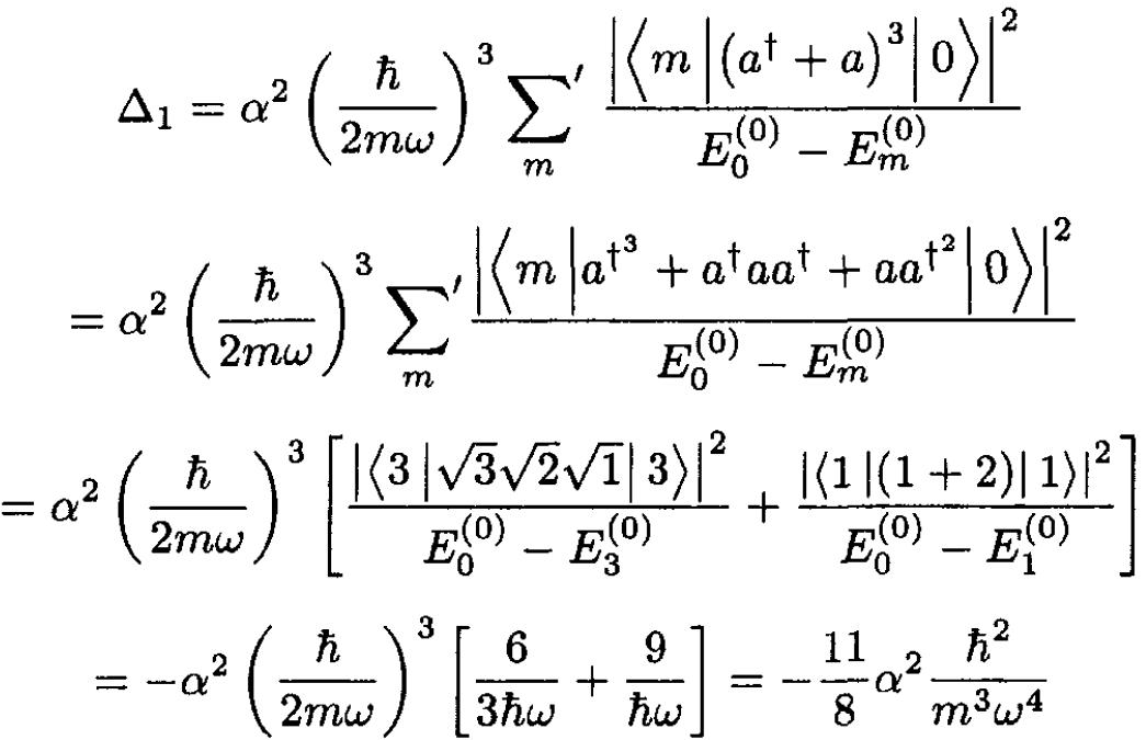
b) The first-order energy shift from ax3 would be zero (no diagonal elements in the Q3 matrix). The leading correction would be the second-order shift as defined by the formula

where ∑' means sum over m ≠ n = 0. From (3) and (4), we have

So,

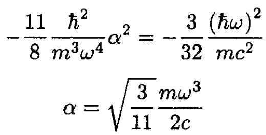
As for any second-order correction to the ground state, it is negative. To make this expression equal to the one in part (a), we require that

الاكثر قراءة في مواضيع اخرى
اخر الاخبار
اخبار العتبة العباسية المقدسة
الآخبار الصحية

قسم الشؤون الفكرية يصدر كتاباً يوثق تاريخ السدانة في العتبة العباسية المقدسة
"المهمة".. إصدار قصصي يوثّق القصص الفائزة في مسابقة فتوى الدفاع المقدسة للقصة القصيرة
(نوافذ).. إصدار أدبي يوثق القصص الفائزة في مسابقة الإمام العسكري (عليه السلام)