
تاريخ الفيزياء

علماء الفيزياء


الفيزياء الكلاسيكية

الميكانيك

الديناميكا الحرارية


الكهربائية والمغناطيسية

الكهربائية

المغناطيسية

الكهرومغناطيسية


علم البصريات

تاريخ علم البصريات

الضوء

مواضيع عامة في علم البصريات

الصوت


الفيزياء الحديثة


النظرية النسبية

النظرية النسبية الخاصة

النظرية النسبية العامة

مواضيع عامة في النظرية النسبية

ميكانيكا الكم

الفيزياء الذرية

الفيزياء الجزيئية


الفيزياء النووية

مواضيع عامة في الفيزياء النووية

النشاط الاشعاعي


فيزياء الحالة الصلبة

الموصلات

أشباه الموصلات

العوازل

مواضيع عامة في الفيزياء الصلبة

فيزياء الجوامد


الليزر

أنواع الليزر

بعض تطبيقات الليزر

مواضيع عامة في الليزر


علم الفلك

تاريخ وعلماء علم الفلك

الثقوب السوداء


المجموعة الشمسية

الشمس

كوكب عطارد

كوكب الزهرة

كوكب الأرض

كوكب المريخ

كوكب المشتري

كوكب زحل

كوكب أورانوس

كوكب نبتون

كوكب بلوتو

القمر

كواكب ومواضيع اخرى

مواضيع عامة في علم الفلك

النجوم

البلازما

الألكترونيات

خواص المادة


الطاقة البديلة

الطاقة الشمسية

مواضيع عامة في الطاقة البديلة

المد والجزر

فيزياء الجسيمات


الفيزياء والعلوم الأخرى

الفيزياء الكيميائية

الفيزياء الرياضية

الفيزياء الحيوية

الفيزياء والفلسفة

الفيزياء العامة


مواضيع عامة في الفيزياء

تجارب فيزيائية

مصطلحات وتعاريف فيزيائية

وحدات القياس الفيزيائية

طرائف الفيزياء

مواضيع اخرى
Halved Harmonic Oscillator
المؤلف:
Sidney B. Cahn, Gerald D. Mahan And Boris E. Nadgorny
المصدر:
A GUIDE TO PHYSICS PROBLEMS
الجزء والصفحة:
part 2 , p 64
18-8-2016
2085
Halved Harmonic Oscillator
Consider a particle of mass m moving in one dimension (see Figure 1.1) in a potential


Figure 1.1
a) Using the normalized trial function

find the value of λ which minimizes the ground state energy and the resulting estimate of the ground state energy. How is this value related to the true ground state energy?
b) What is the exact ground state wave function and energy for this system (neglect the normalization of the wave function)? Do not solve the Schrodinger equation directly. Rather, state the answer and justify it.
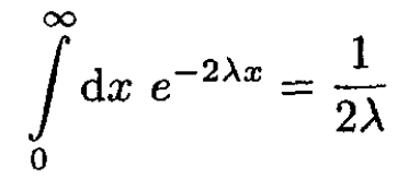
Hint: You may need the integral
SOLUTION
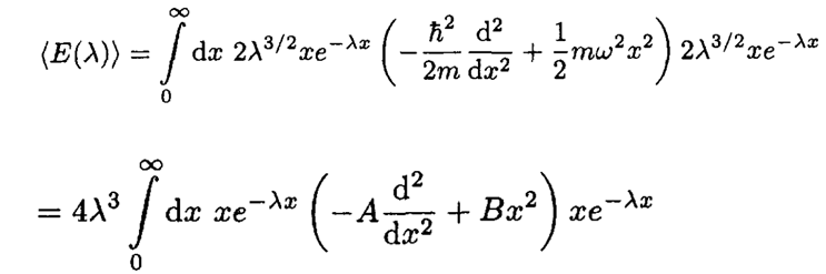
a) Using the Rayleigh–Ritz variation principle, calculate 〈E(λ)〉, the expectation value of the ground state energy as a function of λ:
(1)
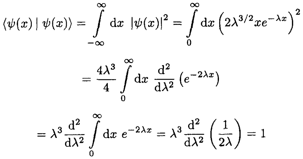
First calculate the denominator of (1):
(2)
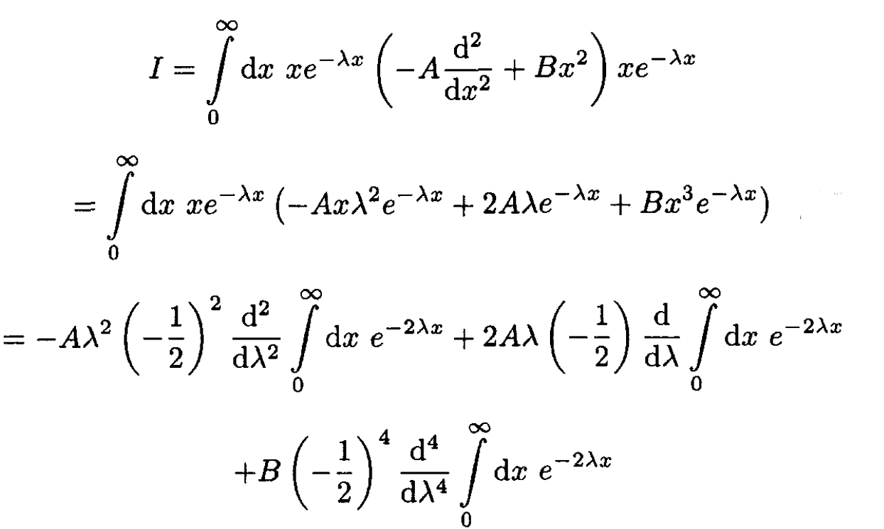
So our trial function is already normalized. Continuing with the numerator of (1), we have
(3)
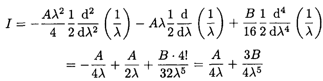
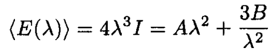
where we set A ≡ h2/2m and B = mω2/2. Evaluate the integral I ≡ 〈E(λ)〉/4λ3:
(4)
Now,
(6)
So, we have
(6)
Finally,
(7)
To minimize this function, find λ0 corresponding to
(8)
(9)
(10)
(11)
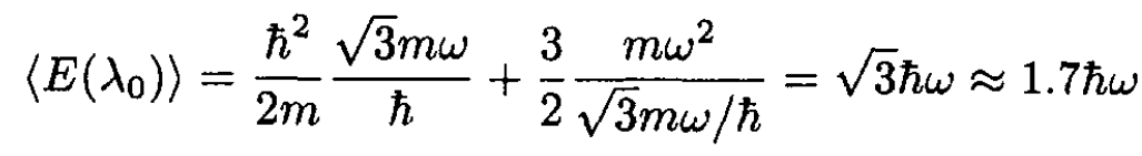
Therefore,
(12)
We should have the inequality
(13)
where E0 is the true ground state energy.
b) To find the exact ground state of the system, notice that odd wave functions of a symmetric oscillator problem (from -∞ to ∞) will also be solutions for these boundary conditions since they tend to zero at x = 0.
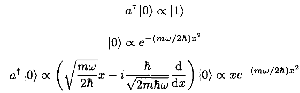
Therefore, the ground state wave function of this halved oscillator will correspond to the first excited state wave function of the symmetrical oscillator. The wave function can easily be obtained if you take the ground state |0〉 and act on it by the creation operator a†:

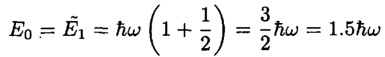
The ground state energy of our halved oscillator will in turn correspond to the first excited state energy
of the symmetrical oscillator:

Comparing this result with that of (a), we see that the inequality (13) holds and that our trial function is a fairly good approximation, since it gives the ground state energy to within 15% accuracy.
الاكثر قراءة في مواضيع اخرى
اخر الاخبار
اخبار العتبة العباسية المقدسة
الآخبار الصحية

قسم الشؤون الفكرية يصدر كتاباً يوثق تاريخ السدانة في العتبة العباسية المقدسة
"المهمة".. إصدار قصصي يوثّق القصص الفائزة في مسابقة فتوى الدفاع المقدسة للقصة القصيرة
(نوافذ).. إصدار أدبي يوثق القصص الفائزة في مسابقة الإمام العسكري (عليه السلام)