
تاريخ الفيزياء

علماء الفيزياء


الفيزياء الكلاسيكية

الميكانيك

الديناميكا الحرارية


الكهربائية والمغناطيسية

الكهربائية

المغناطيسية

الكهرومغناطيسية


علم البصريات

تاريخ علم البصريات

الضوء

مواضيع عامة في علم البصريات

الصوت


الفيزياء الحديثة


النظرية النسبية

النظرية النسبية الخاصة

النظرية النسبية العامة

مواضيع عامة في النظرية النسبية

ميكانيكا الكم

الفيزياء الذرية

الفيزياء الجزيئية


الفيزياء النووية

مواضيع عامة في الفيزياء النووية

النشاط الاشعاعي


فيزياء الحالة الصلبة

الموصلات

أشباه الموصلات

العوازل

مواضيع عامة في الفيزياء الصلبة

فيزياء الجوامد


الليزر

أنواع الليزر

بعض تطبيقات الليزر

مواضيع عامة في الليزر


علم الفلك

تاريخ وعلماء علم الفلك

الثقوب السوداء


المجموعة الشمسية

الشمس

كوكب عطارد

كوكب الزهرة

كوكب الأرض

كوكب المريخ

كوكب المشتري

كوكب زحل

كوكب أورانوس

كوكب نبتون

كوكب بلوتو

القمر

كواكب ومواضيع اخرى

مواضيع عامة في علم الفلك

النجوم

البلازما

الألكترونيات

خواص المادة


الطاقة البديلة

الطاقة الشمسية

مواضيع عامة في الطاقة البديلة

المد والجزر

فيزياء الجسيمات


الفيزياء والعلوم الأخرى

الفيزياء الكيميائية

الفيزياء الرياضية

الفيزياء الحيوية

الفيزياء والفلسفة

الفيزياء العامة


مواضيع عامة في الفيزياء

تجارب فيزيائية

مصطلحات وتعاريف فيزيائية

وحدات القياس الفيزيائية

طرائف الفيزياء

مواضيع اخرى
Finite Size of Nucleus
المؤلف:
Sidney B. Cahn, Gerald D. Mahan And Boris E. Nadgorny
المصدر:
A GUIDE TO PHYSICS PROBLEMS
الجزء والصفحة:
part 2 , p 67
14-8-2016
2037
Finite Size of Nucleus
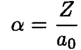
Regard the nucleus of charge Z as a sphere of radius R0 with a uniform charge density. Assume that R0 << a0 where a0 is the Bohr radius of the hydrogen atom.
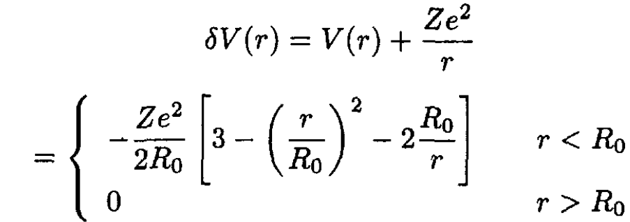
a) Derive an expression for the electrostatic potential V(r) between the nucleus and the electrons in the atom. If V0(r) = -Ze2/r is the potential from a point charge, find the difference δV = V(r) – V0(r) due to the size of the nucleus.
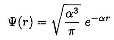
b) Assume one electron is bound to the nucleus in the lowest bound state. What is its wave function when calculated using the potential V0(r) from a point nucleus?
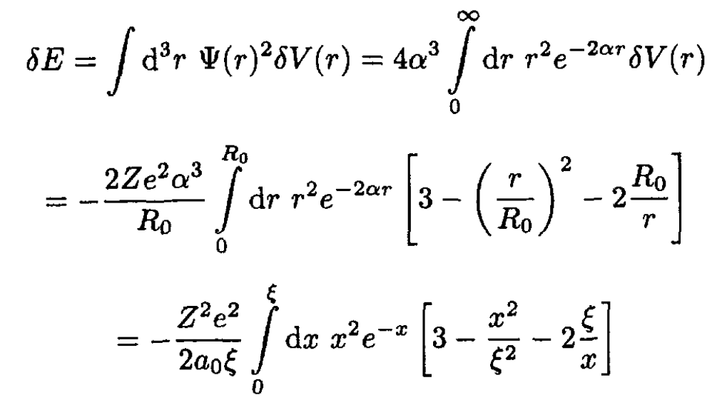
c) Use first-order perturbation theory to derive an expression for the change in the ground state energy of the electron due to the finite size of the nucleus.
SOLUTION
a) To find the potential V(r) near the nucleus, we note Gauss’s law, which states that for an electron at a distance r from the center of a spherical charge distribution, the electric field is provided only by those electrons inside a sphere of radius r. For r < R0, this is the charge Z(r/R0)3, whereas for r > R0 it is just the charge Z . Thus, we find for the derivative of the potential energy:
(1)
where C is a constant of integration. We chose C = -3 to make the potential continuous at r = R0:
(3)
(4)
b) For a single electron bound to a point nucleus, we can use hydrogen wave functions:
(5)
(6)
c) The first-order change in the ground state wave energy is
(7)
(8)
For any physical value of Z, the parameter ξ is very much smaller than unity. One can evaluate the above integral as an expansion in ξ and show that the first term is -0.2ξ3, so the answer is approximately 0.2Z2 ERξ2.
الاكثر قراءة في مواضيع اخرى
اخر الاخبار
اخبار العتبة العباسية المقدسة
الآخبار الصحية

قسم الشؤون الفكرية يصدر كتاباً يوثق تاريخ السدانة في العتبة العباسية المقدسة
"المهمة".. إصدار قصصي يوثّق القصص الفائزة في مسابقة فتوى الدفاع المقدسة للقصة القصيرة
(نوافذ).. إصدار أدبي يوثق القصص الفائزة في مسابقة الإمام العسكري (عليه السلام)