
تاريخ الفيزياء

علماء الفيزياء


الفيزياء الكلاسيكية

الميكانيك

الديناميكا الحرارية


الكهربائية والمغناطيسية

الكهربائية

المغناطيسية

الكهرومغناطيسية


علم البصريات

تاريخ علم البصريات

الضوء

مواضيع عامة في علم البصريات

الصوت


الفيزياء الحديثة


النظرية النسبية

النظرية النسبية الخاصة

النظرية النسبية العامة

مواضيع عامة في النظرية النسبية

ميكانيكا الكم

الفيزياء الذرية

الفيزياء الجزيئية


الفيزياء النووية

مواضيع عامة في الفيزياء النووية

النشاط الاشعاعي


فيزياء الحالة الصلبة

الموصلات

أشباه الموصلات

العوازل

مواضيع عامة في الفيزياء الصلبة

فيزياء الجوامد


الليزر

أنواع الليزر

بعض تطبيقات الليزر

مواضيع عامة في الليزر


علم الفلك

تاريخ وعلماء علم الفلك

الثقوب السوداء


المجموعة الشمسية

الشمس

كوكب عطارد

كوكب الزهرة

كوكب الأرض

كوكب المريخ

كوكب المشتري

كوكب زحل

كوكب أورانوس

كوكب نبتون

كوكب بلوتو

القمر

كواكب ومواضيع اخرى

مواضيع عامة في علم الفلك

النجوم

البلازما

الألكترونيات

خواص المادة


الطاقة البديلة

الطاقة الشمسية

مواضيع عامة في الطاقة البديلة

المد والجزر

فيزياء الجسيمات


الفيزياء والعلوم الأخرى

الفيزياء الكيميائية

الفيزياء الرياضية

الفيزياء الحيوية

الفيزياء والفلسفة

الفيزياء العامة


مواضيع عامة في الفيزياء

تجارب فيزيائية

مصطلحات وتعاريف فيزيائية

وحدات القياس الفيزيائية

طرائف الفيزياء

مواضيع اخرى
Sliding Copper Rod
المؤلف:
Sidney B. Cahn Boris E. Nadgorny
المصدر:
A GUIDE TO PHYSICS PROBLEMS
الجزء والصفحة:
part 1 , p 61
11-8-2016
2154
Sliding Copper Rod
A copper rod slides on frictionless rails in the presence of a constant magnetic field B = B0ẑ. At t = 0, the rod is moving in the y direction with velocity (see Figure 1.1).

Figure 1.1
a) What is the subsequent velocity of the rod if is its conductivity and ρm the mass density of copper.
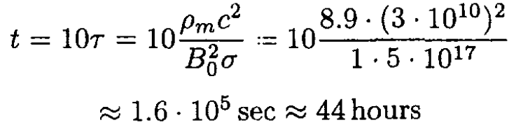
b) For copper, σ = 5 × 1017s-1 and ρm = 8.9 g/cm3. If B0 = 1 gauss, estimate the time it takes the rod to stop.
c) Show that the rate of decrease of the kinetic energy of the rod per unit volume is equal to the ohmic heating rate per unit volume.
SOLUTION
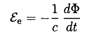
a) In this problem, B = B0ẑ, so the magnetic flux through the surface limited by the rod and the rails changes as a result of the change of the surface area S (since the rod is moving). This gives rise to an electromotive force εe:

where
is the magnetic flux, so

In its turn, εe produces the current through the rod:

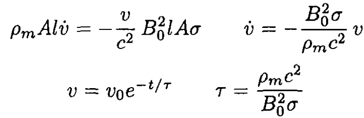
where R is the resistance of the rod, A is its cross section, and σ is the conductivity of the rod. The force acting on the rod is

On the other hand,
So we have

b) For an estimate we can take that the rod practically stopped when t/τ = 10. (It is good enough for an estimate, since for t/τ = 10 the final velocity is vf = 5 × 10-5 v0 and for t/τ = 10, vf = 2 × 10-9 v0) So for t/τ = 10,

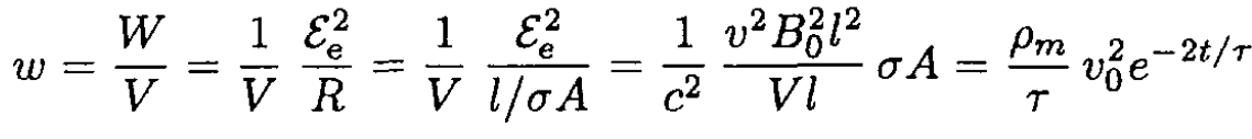
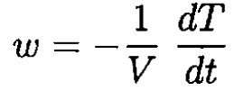
c) The kinetic energy of the rod is T = Mv2/2 = (Mv20/2)e-2t/τ, where M is the total mass of the rod. We can simply take the derivative of this kinetic energy per unit volume:

where V is the volume of the rod. On the other hand, the Joule heating per unit volume

so

الاكثر قراءة في مواضيع اخرى
اخر الاخبار
اخبار العتبة العباسية المقدسة
الآخبار الصحية

قسم الشؤون الفكرية يصدر كتاباً يوثق تاريخ السدانة في العتبة العباسية المقدسة
"المهمة".. إصدار قصصي يوثّق القصص الفائزة في مسابقة فتوى الدفاع المقدسة للقصة القصيرة
(نوافذ).. إصدار أدبي يوثق القصص الفائزة في مسابقة الإمام العسكري (عليه السلام)