
تاريخ الفيزياء

علماء الفيزياء


الفيزياء الكلاسيكية

الميكانيك

الديناميكا الحرارية


الكهربائية والمغناطيسية

الكهربائية

المغناطيسية

الكهرومغناطيسية


علم البصريات

تاريخ علم البصريات

الضوء

مواضيع عامة في علم البصريات

الصوت


الفيزياء الحديثة


النظرية النسبية

النظرية النسبية الخاصة

النظرية النسبية العامة

مواضيع عامة في النظرية النسبية

ميكانيكا الكم

الفيزياء الذرية

الفيزياء الجزيئية


الفيزياء النووية

مواضيع عامة في الفيزياء النووية

النشاط الاشعاعي


فيزياء الحالة الصلبة

الموصلات

أشباه الموصلات

العوازل

مواضيع عامة في الفيزياء الصلبة

فيزياء الجوامد


الليزر

أنواع الليزر

بعض تطبيقات الليزر

مواضيع عامة في الليزر


علم الفلك

تاريخ وعلماء علم الفلك

الثقوب السوداء


المجموعة الشمسية

الشمس

كوكب عطارد

كوكب الزهرة

كوكب الأرض

كوكب المريخ

كوكب المشتري

كوكب زحل

كوكب أورانوس

كوكب نبتون

كوكب بلوتو

القمر

كواكب ومواضيع اخرى

مواضيع عامة في علم الفلك

النجوم

البلازما

الألكترونيات

خواص المادة


الطاقة البديلة

الطاقة الشمسية

مواضيع عامة في الطاقة البديلة

المد والجزر

فيزياء الجسيمات


الفيزياء والعلوم الأخرى

الفيزياء الكيميائية

الفيزياء الرياضية

الفيزياء الحيوية

الفيزياء والفلسفة

الفيزياء العامة


مواضيع عامة في الفيزياء

تجارب فيزيائية

مصطلحات وتعاريف فيزيائية

وحدات القياس الفيزيائية

طرائف الفيزياء

مواضيع اخرى
Retarded Potential of Moving Line Charge
المؤلف:
Sidney B. Cahn Boris E. Nadgorny
المصدر:
A GUIDE TO PHYSICS PROBLEMS
الجزء والصفحة:
part 1 , p 70
11-8-2016
2209
Retarded Potential of Moving Line Charge
An infinitely long insulating filament with linear charge density λ lies at rest along the z-axis (see Figure 1.1).
a) Find the electrostatic field Er at a point P a distance x0 away from the origin along the x-axis.
b) At t = 0 the wire suddenly starts to move with constant velocity v in the positive direction. Assuming the wire is infinitely thin, write down an expression for the current density J arising from the motion. Using the formula for the retarded potential


Figure 1.1
Calculate Az (x0, t) Give its value for t > x0/c and for t < x0/c.
c) Because of cylindrical symmetry, you really know Az (ρ, t) with ρ the radial coordinate in cylindrical coordinates. Find B (ρ, t) as t →∞. Does your value agree with your intuitive expectation from Ampere’s law?
Hint: A useful integral is

SOLUTION
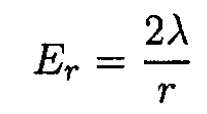
a) We may calculate the field of a line charge using Gauss’s law

where r is the distance from the line charge and is some length of wire. So
(1)
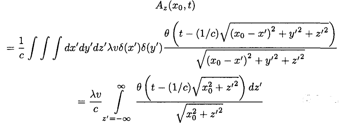
b) The current density
(2)
where δ is the Dirac delta function and θ (t) is defined by

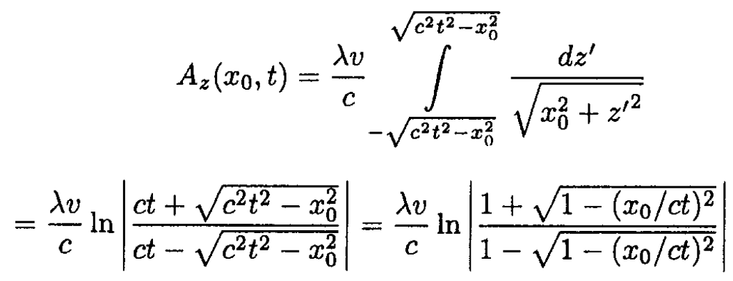
We may then write
(3)
Now,
is zero unless
so

and the integral in (3) becomes
(4)
for t > x0/c. For t < x0/c, Az (x0, t) = 0.
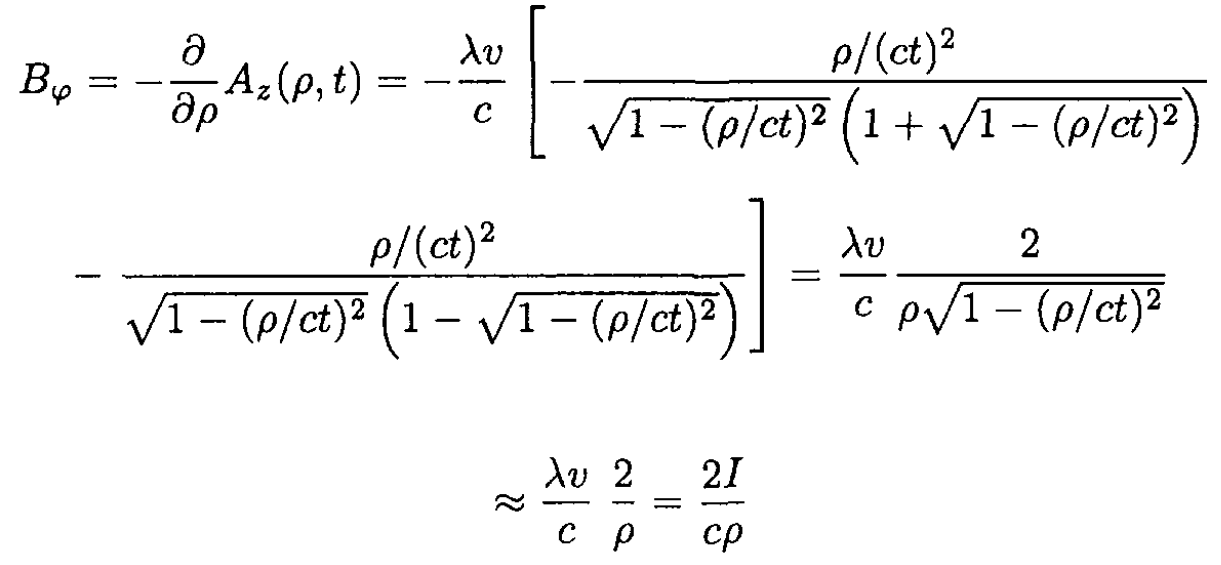
c) From (4), we have for ρ < ct.
(5)
By definition,
which in cylindrical coordinates gives

for t → ∞, which is the value of the magnetic field that would result from a calculation using Ampere’s law.
الاكثر قراءة في مواضيع اخرى
اخر الاخبار
اخبار العتبة العباسية المقدسة
الآخبار الصحية

قسم الشؤون الفكرية يصدر كتاباً يوثق تاريخ السدانة في العتبة العباسية المقدسة
"المهمة".. إصدار قصصي يوثّق القصص الفائزة في مسابقة فتوى الدفاع المقدسة للقصة القصيرة
(نوافذ).. إصدار أدبي يوثق القصص الفائزة في مسابقة الإمام العسكري (عليه السلام)