
تاريخ الفيزياء

علماء الفيزياء


الفيزياء الكلاسيكية

الميكانيك

الديناميكا الحرارية


الكهربائية والمغناطيسية

الكهربائية

المغناطيسية

الكهرومغناطيسية


علم البصريات

تاريخ علم البصريات

الضوء

مواضيع عامة في علم البصريات

الصوت


الفيزياء الحديثة


النظرية النسبية

النظرية النسبية الخاصة

النظرية النسبية العامة

مواضيع عامة في النظرية النسبية

ميكانيكا الكم

الفيزياء الذرية

الفيزياء الجزيئية


الفيزياء النووية

مواضيع عامة في الفيزياء النووية

النشاط الاشعاعي


فيزياء الحالة الصلبة

الموصلات

أشباه الموصلات

العوازل

مواضيع عامة في الفيزياء الصلبة

فيزياء الجوامد


الليزر

أنواع الليزر

بعض تطبيقات الليزر

مواضيع عامة في الليزر


علم الفلك

تاريخ وعلماء علم الفلك

الثقوب السوداء


المجموعة الشمسية

الشمس

كوكب عطارد

كوكب الزهرة

كوكب الأرض

كوكب المريخ

كوكب المشتري

كوكب زحل

كوكب أورانوس

كوكب نبتون

كوكب بلوتو

القمر

كواكب ومواضيع اخرى

مواضيع عامة في علم الفلك

النجوم

البلازما

الألكترونيات

خواص المادة


الطاقة البديلة

الطاقة الشمسية

مواضيع عامة في الطاقة البديلة

المد والجزر

فيزياء الجسيمات


الفيزياء والعلوم الأخرى

الفيزياء الكيميائية

الفيزياء الرياضية

الفيزياء الحيوية

الفيزياء والفلسفة

الفيزياء العامة


مواضيع عامة في الفيزياء

تجارب فيزيائية

مصطلحات وتعاريف فيزيائية

وحدات القياس الفيزيائية

طرائف الفيزياء

مواضيع اخرى
Magnetic Shielding
المؤلف:
Sidney B. Cahn Boris E. Nadgorny
المصدر:
A GUIDE TO PHYSICS PROBLEMS
الجزء والصفحة:
part 1 , p 60
9-8-2016
2130
Magnetic Shielding
A spherical shell of high permeability μ is placed in a uniform magnetic field.
a) Compute the attenuation (shielding) produced by the sphere in terms of μ and the inner and outer radii a and b, respectively, of the shell.
b) Take the limit at μ >> 1 and estimate the shielding for μ = 105, a = 0.5 m, b = 0.55 m.
SOLUTION
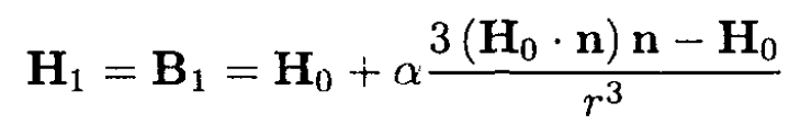
a) By analogy with electrostatics, we assume that the shell can be described by a magnetic dipole placed in the center of the shell for r > a, and try to satisfy boundary conditions for H and B. We can write
(1)
(2)
(3)
where (1), (2), and (3) are written for areas 1, 2, and 3 outside the shell, at b > r > a, and inside the shell, respectively (see Figure 1.1); α, β, γ, and δ are numerical factors that we shall find from

Figure 1.1
the constitutive relation B = μH; and n is a unit vector parallel to r. From (1)–(3), we can impose conditions for the normal components of B and the tangential components of H, taken at the same angle θ
(4)
(5)
(6)
(7)
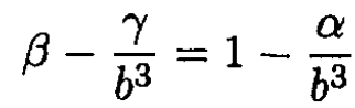
where (4) and (5) apply to interface 1–2, while (6) and (7) apply to interface 2–3. Dividing out the H0 cos θ and H0 sin θ, appropriately, we obtain
(8)
(9)
(10)
(11)
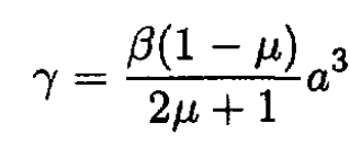
This system of four equations for the four numerical coefficients may be easily solved. Using (10) and (11), we find

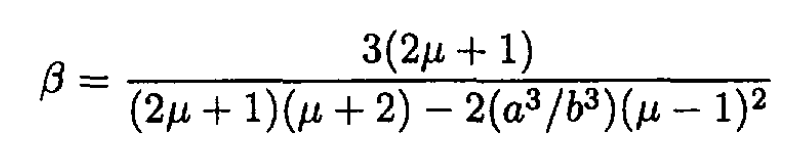
and from (8) and (9), we obtain

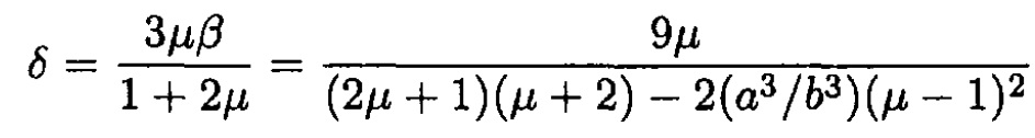
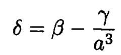
Now we can calculate δ, which is the attenuation factor we seek. Isolating δ from (10) and (11) and substituting β, we have

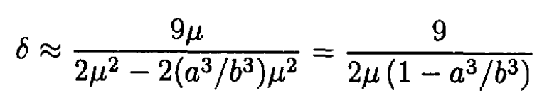
b) In the limit of high permeability μ >> 1, we arrive at

For a = 0.5 m, b = 0.55 m, and μ = 105

الاكثر قراءة في مواضيع اخرى
اخر الاخبار
اخبار العتبة العباسية المقدسة
الآخبار الصحية

قسم الشؤون الفكرية يصدر كتاباً يوثق تاريخ السدانة في العتبة العباسية المقدسة
"المهمة".. إصدار قصصي يوثّق القصص الفائزة في مسابقة فتوى الدفاع المقدسة للقصة القصيرة
(نوافذ).. إصدار أدبي يوثق القصص الفائزة في مسابقة الإمام العسكري (عليه السلام)