
تاريخ الفيزياء

علماء الفيزياء


الفيزياء الكلاسيكية

الميكانيك

الديناميكا الحرارية


الكهربائية والمغناطيسية

الكهربائية

المغناطيسية

الكهرومغناطيسية


علم البصريات

تاريخ علم البصريات

الضوء

مواضيع عامة في علم البصريات

الصوت


الفيزياء الحديثة


النظرية النسبية

النظرية النسبية الخاصة

النظرية النسبية العامة

مواضيع عامة في النظرية النسبية

ميكانيكا الكم

الفيزياء الذرية

الفيزياء الجزيئية


الفيزياء النووية

مواضيع عامة في الفيزياء النووية

النشاط الاشعاعي


فيزياء الحالة الصلبة

الموصلات

أشباه الموصلات

العوازل

مواضيع عامة في الفيزياء الصلبة

فيزياء الجوامد


الليزر

أنواع الليزر

بعض تطبيقات الليزر

مواضيع عامة في الليزر


علم الفلك

تاريخ وعلماء علم الفلك

الثقوب السوداء


المجموعة الشمسية

الشمس

كوكب عطارد

كوكب الزهرة

كوكب الأرض

كوكب المريخ

كوكب المشتري

كوكب زحل

كوكب أورانوس

كوكب نبتون

كوكب بلوتو

القمر

كواكب ومواضيع اخرى

مواضيع عامة في علم الفلك

النجوم

البلازما

الألكترونيات

خواص المادة


الطاقة البديلة

الطاقة الشمسية

مواضيع عامة في الطاقة البديلة

المد والجزر

فيزياء الجسيمات


الفيزياء والعلوم الأخرى

الفيزياء الكيميائية

الفيزياء الرياضية

الفيزياء الحيوية

الفيزياء والفلسفة

الفيزياء العامة


مواضيع عامة في الفيزياء

تجارب فيزيائية

مصطلحات وتعاريف فيزيائية

وحدات القياس الفيزيائية

طرائف الفيزياء

مواضيع اخرى
Iterated Capacitance
المؤلف:
Sidney B. Cahn Boris E. Nadgorny
المصدر:
A GUIDE TO PHYSICS PROBLEMS
الجزء والصفحة:
part 1 , p 52
9-8-2016
2037
Iterated Capacitance
a) Given two point charges of opposite sign and unequal in magnitude, show that the (nontrivial!) surface V = V (∞) with is a sphere. Find its radius and center. This is the basis of the “method of images” for problems involving equipotential spheres.
b) Describe concisely but clearly an iterative method to find the capacitance of two conducting spheres of radius a whose centers are 4a apart.
c) Calculate the capacitance to within 5%.
SOLUTION
a) We found in Problem 3.5 that a charge a distance R from a conducting sphere of radius a produced an image charge q' a distance r from the center of the sphere, where
(1)
Using this result, we may verify that charges q and q' a distance R – r

Figure 1.1a
apart do indeed give a spherical equipotential surface. The problem is cylindrically symmetric, so we establish a circular equipotential by writing down the potential due to the two charges (see Figure 1.1a). Given that V(∞) = 0, we find the sum of the potentials

for a circle of radius a. If q' = -qa/R, we have

With r = a2/R,

as required. Given that the separation of the two charges is some distance x = R – r, we may find the radius of the sphere a and the location of the center with respect to one of the charges R using (1):

b),c) In general, the charge and potentials of a number of conductors are related by the linear equations
(2)
where Cii and Cij are called coefficients of capacity and induction, respectively.
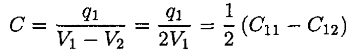
In the case of two conductors carrying equal but opposite charges, the capacitance is defined by the ratio of the charge on one conductor to the potential difference between them. For our two-sphere capacitor, we have
(3)

Figure 1.1b
The capacitance may be found by setting q2 = -q1 and calculating
(4)
If we choose the zero of potential at infinity, it is clear that V2 = – V1 so we have for the capacitance
(5)
This is a specific case of a more general result
(6)
Now we may calculate C11 and C12 by placing a charge Q on the first sphere, giving it a potential V = Q/a, then placing an image charge inside the other sphere to keep it at zero potential. In turn, we place an image charge inside the first sphere to restore the potential to Q/a, whereupon we. ... Operationally, we have from (1) (see Figure 1.1b)

c) For our problem, R = 4a, and Q0 = Q, so we find Q1 = -Q/4, Q2 = Q/15, Q3 = -Q/56, and Q4 ≈ Q/209. Since we maintain V2 = 0, we have from the first of (3)
(7)
So
(8)
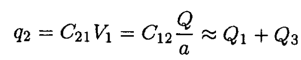
Since C12 = C21, we find from the second of (3) by summing the first two image charges in sphere 2
(9)
So
(10)
Finally, we have
(11)
الاكثر قراءة في مواضيع اخرى
اخر الاخبار
اخبار العتبة العباسية المقدسة
الآخبار الصحية

قسم الشؤون الفكرية يصدر كتاباً يوثق تاريخ السدانة في العتبة العباسية المقدسة
"المهمة".. إصدار قصصي يوثّق القصص الفائزة في مسابقة فتوى الدفاع المقدسة للقصة القصيرة
(نوافذ).. إصدار أدبي يوثق القصص الفائزة في مسابقة الإمام العسكري (عليه السلام)