
تاريخ الفيزياء

علماء الفيزياء


الفيزياء الكلاسيكية

الميكانيك

الديناميكا الحرارية


الكهربائية والمغناطيسية

الكهربائية

المغناطيسية

الكهرومغناطيسية


علم البصريات

تاريخ علم البصريات

الضوء

مواضيع عامة في علم البصريات

الصوت


الفيزياء الحديثة


النظرية النسبية

النظرية النسبية الخاصة

النظرية النسبية العامة

مواضيع عامة في النظرية النسبية

ميكانيكا الكم

الفيزياء الذرية

الفيزياء الجزيئية


الفيزياء النووية

مواضيع عامة في الفيزياء النووية

النشاط الاشعاعي


فيزياء الحالة الصلبة

الموصلات

أشباه الموصلات

العوازل

مواضيع عامة في الفيزياء الصلبة

فيزياء الجوامد


الليزر

أنواع الليزر

بعض تطبيقات الليزر

مواضيع عامة في الليزر


علم الفلك

تاريخ وعلماء علم الفلك

الثقوب السوداء


المجموعة الشمسية

الشمس

كوكب عطارد

كوكب الزهرة

كوكب الأرض

كوكب المريخ

كوكب المشتري

كوكب زحل

كوكب أورانوس

كوكب نبتون

كوكب بلوتو

القمر

كواكب ومواضيع اخرى

مواضيع عامة في علم الفلك

النجوم

البلازما

الألكترونيات

خواص المادة


الطاقة البديلة

الطاقة الشمسية

مواضيع عامة في الطاقة البديلة

المد والجزر

فيزياء الجسيمات


الفيزياء والعلوم الأخرى

الفيزياء الكيميائية

الفيزياء الرياضية

الفيزياء الحيوية

الفيزياء والفلسفة

الفيزياء العامة


مواضيع عامة في الفيزياء

تجارب فيزيائية

مصطلحات وتعاريف فيزيائية

وحدات القياس الفيزيائية

طرائف الفيزياء

مواضيع اخرى
Classical Atomic Spectral Line
المؤلف:
Sidney B. Cahn Boris E. Nadgorny
المصدر:
A GUIDE TO PHYSICS PROBLEMS
الجزء والصفحة:
part 1 , p 68
8-8-2016
2123
Classical Atomic Spectral Line
Consider the classical theory of the width of an atomic spectral line. The “atom” consists of an electron of mass m and charge in a harmonic oscillator potential. There is also a frictional damping force, so the equation of motion for the electron is
(1)
a) Suppose at time t = 0, x = x0 and ẋ = 0. What is the subsequent motion of the electron? A classical electron executing this motion would emit electromagnetic radiation. Determine the intensity I(ω) of this radiation as a function of frequency. (You need not calculate the absolute normalization of I(ω), only the form of the ω dependence of I(ω). In other words, it is enough to calculate up to a constant of proportionality.) Assume γ/m << ω0.
b) Now suppose the damping force γẋ is absent from (1) and that the oscillation is damped only by the loss of energy to radiation (an effect which has been ignored above). The energy U of the oscillator decays as U0e-Γt. What, under the above assumptions, is Γ. (You may assume that in any one oscillation the electron loses only a very small fraction of its energy.)
c) For an atomic spectral line of 5000 Å, what is the width of the spectral line, in angstroms, as determined from the calculation of (b)? About how many oscillations does the electron make while losing half its energy? Rough estimates are enough.
SOLUTION
a) The equation

has a solution
(1)
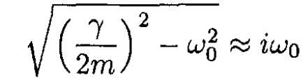
with initial conditions x = x0, and ẋ = 0, where we used

for ω0 >> γ/m. In the same approximation, the acceleration
(2)
The total energy ε radiated by the atom
(3)
where I(ω) is the spectral density of the radiation. On the other hand
(4)
where we used the formula
(5)
and the fact that w = 0 at t < 0. We may write the Fourier transform of the acceleration w:

Now, Parseval’s relation gives
(6)
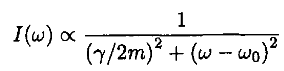
Comparing (3) and (6), we obtain for the spectral density

b) The energy U of the oscillator may be written
(7)
The power loss is therefore
(8)
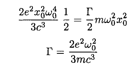
This may be equated to the power loss given by the average over one cycle of (5)
(9)
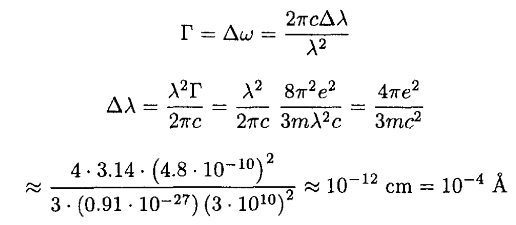
c) We may rewrite (9) as

The linewidth in angstroms may be found from

Now find the time T for the atom to lose half its energy:

The number of oscillations is then

الاكثر قراءة في مواضيع اخرى
اخر الاخبار
اخبار العتبة العباسية المقدسة
الآخبار الصحية

قسم الشؤون الفكرية يصدر كتاباً يوثق تاريخ السدانة في العتبة العباسية المقدسة
"المهمة".. إصدار قصصي يوثّق القصص الفائزة في مسابقة فتوى الدفاع المقدسة للقصة القصيرة
(نوافذ).. إصدار أدبي يوثق القصص الفائزة في مسابقة الإمام العسكري (عليه السلام)