
تاريخ الفيزياء

علماء الفيزياء


الفيزياء الكلاسيكية

الميكانيك

الديناميكا الحرارية


الكهربائية والمغناطيسية

الكهربائية

المغناطيسية

الكهرومغناطيسية


علم البصريات

تاريخ علم البصريات

الضوء

مواضيع عامة في علم البصريات

الصوت


الفيزياء الحديثة


النظرية النسبية

النظرية النسبية الخاصة

النظرية النسبية العامة

مواضيع عامة في النظرية النسبية

ميكانيكا الكم

الفيزياء الذرية

الفيزياء الجزيئية


الفيزياء النووية

مواضيع عامة في الفيزياء النووية

النشاط الاشعاعي


فيزياء الحالة الصلبة

الموصلات

أشباه الموصلات

العوازل

مواضيع عامة في الفيزياء الصلبة

فيزياء الجوامد


الليزر

أنواع الليزر

بعض تطبيقات الليزر

مواضيع عامة في الليزر


علم الفلك

تاريخ وعلماء علم الفلك

الثقوب السوداء


المجموعة الشمسية

الشمس

كوكب عطارد

كوكب الزهرة

كوكب الأرض

كوكب المريخ

كوكب المشتري

كوكب زحل

كوكب أورانوس

كوكب نبتون

كوكب بلوتو

القمر

كواكب ومواضيع اخرى

مواضيع عامة في علم الفلك

النجوم

البلازما

الألكترونيات

خواص المادة


الطاقة البديلة

الطاقة الشمسية

مواضيع عامة في الطاقة البديلة

المد والجزر

فيزياء الجسيمات


الفيزياء والعلوم الأخرى

الفيزياء الكيميائية

الفيزياء الرياضية

الفيزياء الحيوية

الفيزياء والفلسفة

الفيزياء العامة


مواضيع عامة في الفيزياء

تجارب فيزيائية

مصطلحات وتعاريف فيزيائية

وحدات القياس الفيزيائية

طرائف الفيزياء

مواضيع اخرى
Charged Particle in Uniform Magnetic Field
المؤلف:
Sidney B. Cahn Boris E. Nadgorny
المصدر:
A GUIDE TO PHYSICS PROBLEMS
الجزء والصفحة:
part 1 , p 74
8-8-2016
2071
Charged Particle in Uniform Magnetic Field
A nonrelativistic charged particle is orbiting in a uniform magnetic field of strength H0 at the center of a large solenoid. The radius of the orbit is R0. The field is changed slowly to H1. What is the new radius R1 of the orbit? If the field is suddenly changed back to H2 what is the final radius R2?
SOLUTION
Where we considered the adiabatic invariant for a mechanical system. Here, we have for the motion in the plane perpendicular to the magnetic field

where

is the projection of the generalized momentum on this plane, and the integral is taken over one period of motion in this plane, whose shape is a circle. (A is the vector potential and is the charge of the particle.)
(1)
Using Stokes’ theorem and substituting
we obtain
(2)
We used the fact that the absolute value of pt is constant. The minus sign before the second term occurs since the line integral about the orbit is opposite to the velocity of the charge. After substituting pt = eHr /c into (2), we obtain
(3)
So, for a slow change of magnetic field from H0 to H1, we find

or

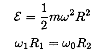
Now, if the field changes suddenly from H1 back to H0, then the energy ε is conserved

where ω1 and ω0 are cyclotron frequencies, corresponding to magnetic fields H1 and H0, respectively:

where m is the mass of the particle. Therefore,

الاكثر قراءة في مواضيع اخرى
اخر الاخبار
اخبار العتبة العباسية المقدسة
الآخبار الصحية

قسم الشؤون الفكرية يصدر كتاباً يوثق تاريخ السدانة في العتبة العباسية المقدسة
"المهمة".. إصدار قصصي يوثّق القصص الفائزة في مسابقة فتوى الدفاع المقدسة للقصة القصيرة
(نوافذ).. إصدار أدبي يوثق القصص الفائزة في مسابقة الإمام العسكري (عليه السلام)