
تاريخ الفيزياء

علماء الفيزياء


الفيزياء الكلاسيكية

الميكانيك

الديناميكا الحرارية


الكهربائية والمغناطيسية

الكهربائية

المغناطيسية

الكهرومغناطيسية


علم البصريات

تاريخ علم البصريات

الضوء

مواضيع عامة في علم البصريات

الصوت


الفيزياء الحديثة


النظرية النسبية

النظرية النسبية الخاصة

النظرية النسبية العامة

مواضيع عامة في النظرية النسبية

ميكانيكا الكم

الفيزياء الذرية

الفيزياء الجزيئية


الفيزياء النووية

مواضيع عامة في الفيزياء النووية

النشاط الاشعاعي


فيزياء الحالة الصلبة

الموصلات

أشباه الموصلات

العوازل

مواضيع عامة في الفيزياء الصلبة

فيزياء الجوامد


الليزر

أنواع الليزر

بعض تطبيقات الليزر

مواضيع عامة في الليزر


علم الفلك

تاريخ وعلماء علم الفلك

الثقوب السوداء


المجموعة الشمسية

الشمس

كوكب عطارد

كوكب الزهرة

كوكب الأرض

كوكب المريخ

كوكب المشتري

كوكب زحل

كوكب أورانوس

كوكب نبتون

كوكب بلوتو

القمر

كواكب ومواضيع اخرى

مواضيع عامة في علم الفلك

النجوم

البلازما

الألكترونيات

خواص المادة


الطاقة البديلة

الطاقة الشمسية

مواضيع عامة في الطاقة البديلة

المد والجزر

فيزياء الجسيمات


الفيزياء والعلوم الأخرى

الفيزياء الكيميائية

الفيزياء الرياضية

الفيزياء الحيوية

الفيزياء والفلسفة

الفيزياء العامة


مواضيع عامة في الفيزياء

تجارب فيزيائية

مصطلحات وتعاريف فيزيائية

وحدات القياس الفيزيائية

طرائف الفيزياء

مواضيع اخرى
Charge and Dielectric
المؤلف:
Sidney B. Cahn Boris E. Nadgorny
المصدر:
A GUIDE TO PHYSICS PROBLEMS
الجزء والصفحة:
part 1 , p 47
7-8-2016
1665
Charge and Dielectric
A charge e is situated at the point x = h > 0, y = z = 0 outside a homogeneous dielectric which fills the region x < 0 (see Figure 1.1).

Figure 1.1
a) Write the electric fields E(0+, y, z) and E(0-, y, z) just outside and just inside the dielectric in terms of the charge e and surface charge density σb of bound charges on the surface of the dielectric.
b) Express σb in terms of E(0-, y, z). Denote by the dielectric constant of the dielectric.
c) By using the equations obtained in (a) and (b), show that

d) Calculate the electric field E' due σb to at the position (h, 0, 0) of the charge e. Show that it can be interpreted as the field of an image charge e' situated at the point (-h, 0, 0).
e) Show that the charge experiences the force

SOLUTION
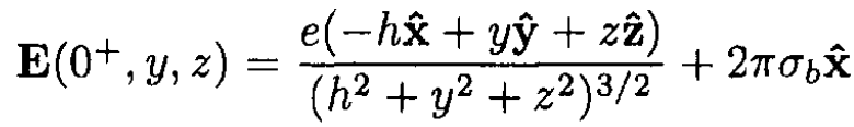
a) The electric fields just above and below the dielectric due to the charge e and the surface charge σb(y, z) are, respectively,
(1)
(2)
b) From D = E + 4πP = εE, we have for the polarization P and its normal component to the boundary Pn
(3)
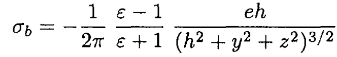
c) Using (2) in (3), we have
(4)
So
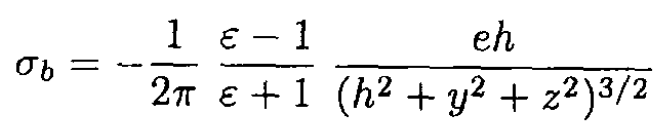
(5)
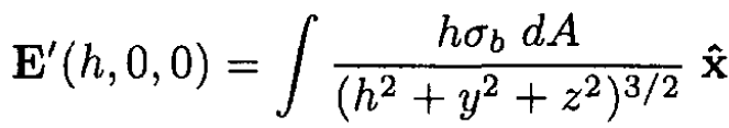
d) The field at the position of the charge due to the surface charge σb is
(6)
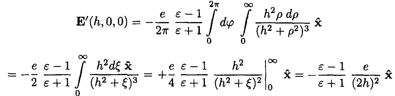
where dA is the area. We can rewrite this integral in cylindrical coordinates:
(7)
This can be interpreted as an image charge
(8)
at a distance 2h from the charge e (see Figure 1.2).

Figure 1.2
e) The force on the charge e is
(9)
الاكثر قراءة في مواضيع اخرى
اخر الاخبار
اخبار العتبة العباسية المقدسة
الآخبار الصحية

قسم الشؤون الفكرية يصدر كتاباً يوثق تاريخ السدانة في العتبة العباسية المقدسة
"المهمة".. إصدار قصصي يوثّق القصص الفائزة في مسابقة فتوى الدفاع المقدسة للقصة القصيرة
(نوافذ).. إصدار أدبي يوثق القصص الفائزة في مسابقة الإمام العسكري (عليه السلام)