
تاريخ الفيزياء

علماء الفيزياء


الفيزياء الكلاسيكية

الميكانيك

الديناميكا الحرارية


الكهربائية والمغناطيسية

الكهربائية

المغناطيسية

الكهرومغناطيسية


علم البصريات

تاريخ علم البصريات

الضوء

مواضيع عامة في علم البصريات

الصوت


الفيزياء الحديثة


النظرية النسبية

النظرية النسبية الخاصة

النظرية النسبية العامة

مواضيع عامة في النظرية النسبية

ميكانيكا الكم

الفيزياء الذرية

الفيزياء الجزيئية


الفيزياء النووية

مواضيع عامة في الفيزياء النووية

النشاط الاشعاعي


فيزياء الحالة الصلبة

الموصلات

أشباه الموصلات

العوازل

مواضيع عامة في الفيزياء الصلبة

فيزياء الجوامد


الليزر

أنواع الليزر

بعض تطبيقات الليزر

مواضيع عامة في الليزر


علم الفلك

تاريخ وعلماء علم الفلك

الثقوب السوداء


المجموعة الشمسية

الشمس

كوكب عطارد

كوكب الزهرة

كوكب الأرض

كوكب المريخ

كوكب المشتري

كوكب زحل

كوكب أورانوس

كوكب نبتون

كوكب بلوتو

القمر

كواكب ومواضيع اخرى

مواضيع عامة في علم الفلك

النجوم

البلازما

الألكترونيات

خواص المادة


الطاقة البديلة

الطاقة الشمسية

مواضيع عامة في الطاقة البديلة

المد والجزر

فيزياء الجسيمات


الفيزياء والعلوم الأخرى

الفيزياء الكيميائية

الفيزياء الرياضية

الفيزياء الحيوية

الفيزياء والفلسفة

الفيزياء العامة


مواضيع عامة في الفيزياء

تجارب فيزيائية

مصطلحات وتعاريف فيزيائية

وحدات القياس الفيزيائية

طرائف الفيزياء

مواضيع اخرى
Sliding Ladder
المؤلف:
Sidney B. Cahn Boris E. Nadgorny
المصدر:
A GUIDE TO PHYSICS PROBLEMS
الجزء والصفحة:
part 1 , p 16
1-8-2016
2262
Sliding Ladder
A ladder of mass m and length 2l stands against a frictionless wall with its feet on a frictionless floor. If it is let go with initial angle α0, what will be the angle when the ladder loses contact with the wall (see Figure 1.1)?

Figure 1.1
SOLUTION
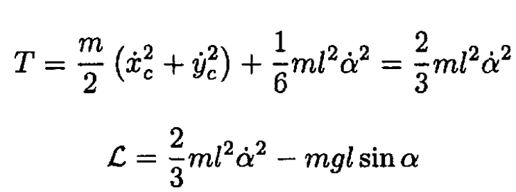
Let us watch the ladder until it leaves the wall. Forces N1 and N2 are normal reactions of the wall and floor, respectively; W = mg is the weight of the ladder; xc and yc are the coordinates of the center of mass (see Figure.1.2). First, find the Lagrangian of the system. The kinetic energy
is the moment of inertia relative to the center of mass


Figure.1.2
(1)
From Lagrange’s equations
(2)
In addition, from energy conservation
(3)
We will assume that the ladder loses contact with the wall before it does so with the floor. (This has to be checked). Up until the ladder slides away from the wall, there are constraints of the form
(4)
(5)
Since N1 is the only force acting in the x direction, N1 = mẍc When the ladder loses contact with the wall, N1 = 0. Differentiating (4) twice gives
(6)
From (6)
and substituting it into (2), we have for the angle the ladder leaves the wall
(7)
From (3) and (7), we obtain
(8)
We have assumed that the ladder loses contact with the wall first. Let us check this assumption. It implies that N2 > 0 at all times before the ladder leaves the wall
(9)
From (5) and (6), we have
(10)
Therefore
(11)
At the time the ladder leaves the wall

On the other hand, N2 is monotonically decreasing while is decreasing (see (3)). So, our assumption was right and indeed α = sin-1(2/3 sin α0).
الاكثر قراءة في مواضيع اخرى
اخر الاخبار
اخبار العتبة العباسية المقدسة
الآخبار الصحية

قسم الشؤون الفكرية يصدر كتاباً يوثق تاريخ السدانة في العتبة العباسية المقدسة
"المهمة".. إصدار قصصي يوثّق القصص الفائزة في مسابقة فتوى الدفاع المقدسة للقصة القصيرة
(نوافذ).. إصدار أدبي يوثق القصص الفائزة في مسابقة الإمام العسكري (عليه السلام)