
تاريخ الفيزياء

علماء الفيزياء


الفيزياء الكلاسيكية

الميكانيك

الديناميكا الحرارية


الكهربائية والمغناطيسية

الكهربائية

المغناطيسية

الكهرومغناطيسية


علم البصريات

تاريخ علم البصريات

الضوء

مواضيع عامة في علم البصريات

الصوت


الفيزياء الحديثة


النظرية النسبية

النظرية النسبية الخاصة

النظرية النسبية العامة

مواضيع عامة في النظرية النسبية

ميكانيكا الكم

الفيزياء الذرية

الفيزياء الجزيئية


الفيزياء النووية

مواضيع عامة في الفيزياء النووية

النشاط الاشعاعي


فيزياء الحالة الصلبة

الموصلات

أشباه الموصلات

العوازل

مواضيع عامة في الفيزياء الصلبة

فيزياء الجوامد


الليزر

أنواع الليزر

بعض تطبيقات الليزر

مواضيع عامة في الليزر


علم الفلك

تاريخ وعلماء علم الفلك

الثقوب السوداء


المجموعة الشمسية

الشمس

كوكب عطارد

كوكب الزهرة

كوكب الأرض

كوكب المريخ

كوكب المشتري

كوكب زحل

كوكب أورانوس

كوكب نبتون

كوكب بلوتو

القمر

كواكب ومواضيع اخرى

مواضيع عامة في علم الفلك

النجوم

البلازما

الألكترونيات

خواص المادة


الطاقة البديلة

الطاقة الشمسية

مواضيع عامة في الطاقة البديلة

المد والجزر

فيزياء الجسيمات


الفيزياء والعلوم الأخرى

الفيزياء الكيميائية

الفيزياء الرياضية

الفيزياء الحيوية

الفيزياء والفلسفة

الفيزياء العامة


مواضيع عامة في الفيزياء

تجارب فيزيائية

مصطلحات وتعاريف فيزيائية

وحدات القياس الفيزيائية

طرائف الفيزياء

مواضيع اخرى
Dumbbell Satellite
المؤلف:
Sidney B. Cahn And Boris E. Nadgorny
المصدر:
A GUIDE TO PHYSICS PROBLEMS
الجزء والصفحة:
part 1 , p 11
28-7-2016
2107
Dumbbell Satellite
Automatic stabilization of the orientation of orbiting satellites utilizes the torque from the Earth’s gravitational pull on a non-spherical satellite in a circular orbit of radius R. Consider a dumbbell-shaped satellite consisting of two point masses of mass m connected by a massless rod of length 2L, much less than R where the rod lies in the plane of the orbit (see Figure 1.1). The orientation of the satellite relative to the direction toward the Earth is measured by angle θ.

Figure 1.1
a) Determine the value of θ for the stable orientation of the satellite.
b) Show that the angular frequency of small-angle oscillations of the satellite about its stable orientation is
times the orbital angular velocity of the satellite.
SOLUTION
Write the Lagrangian in the frame with the origin at the center of the Earth. The potential energy of the satellite is

where M is the mass of the Earth, and R+ and R- are the distances from the center of the Earth to the two masses (see Figure 1.2). Using the formula
(where we

Figure 1.2
disregard the quadratic term (l/R)2), we can rewrite the potential energy in the form
(1)
Keeping two terms in the expansion of the square root, we obtain
(2)
We can find the minimum of the potential energy now by solving ∂V/∂θ = 0, which has two solutions:

and

For the first solution, ∂2V/∂θ2 > 0, and for the second, ∂2V/∂θ2 < 0. So, at θ = 0, the potential energy has a minimum, and that determines the orientation of the satellite.
b) For small oscillations

From (2) we obtain
(3)
The kinetic energy of the satellite can be written in the same approximation as a sum of its center of mass energy (which is constant) plus the kinetic energy relative to the center of mass:

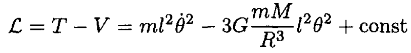
So the Lagrangian is

The angular velocity ω0 of the satellite about the Earth may be obtained from the equation for a circular orbit: mω20R = G(mM/R2). From the Lagrangian, we arrive at the angular velocity Ω of small angle oscillations of the satellite, where Ω2 = 3G(M/R3) = 3ω20 and so
For further details.
الاكثر قراءة في مواضيع اخرى
اخر الاخبار
اخبار العتبة العباسية المقدسة
الآخبار الصحية

قسم الشؤون الفكرية يصدر كتاباً يوثق تاريخ السدانة في العتبة العباسية المقدسة
"المهمة".. إصدار قصصي يوثّق القصص الفائزة في مسابقة فتوى الدفاع المقدسة للقصة القصيرة
(نوافذ).. إصدار أدبي يوثق القصص الفائزة في مسابقة الإمام العسكري (عليه السلام)