نسبية الطول
لقد وجدنا أن الفترات الزمنية ليست مطلقة بل تختلف باختلاف الأطر المرجعية التي تقاس منها. و نفس الشيء بالنسبة للأطوال فهي أيضا تعتمد على الإطار المرجعي الذى تقاس فيه. و الطول الحقيقي هو الطول كما يقاسه شخص متواجد مع الجسم في إطار مرجعي واحد و من ثم يكون الجسم ساكنا بالنسبة له. أما طول الجسم الموجود في إطار مرجعي متحرك بالنسبة للشخص الذى يقيس فيكون أقل من الطول الحقيقي و هذا ما يسمى بتقلص أو انكماش الطولLength Contraction.
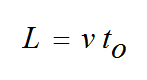
نفرض أن مركبة فضائية تتحرك بسرعة v من كوكب لأخر و داخلها مراقب يريد حساب المسافة بين الكوكبين (هذا المراقب يكون في إطار متحرك بالنسبة للكوكبين). و إذا كان هناك مراقب أخر موجود على الأرض ( أي في إطار ثابت بالنسبة للمركبة و أيضا بالنسبة للكوكبين) و يريد حساب المسافة بين الكوكبين. فإذا افترضنا أن المراقب الموجود على الأرض قاس هذه المسافة في زمن مقداره t و وجدها L0 و هو الطول الحقيقي. و السؤال الآن كيف سيقيس المراقب الموجود في المركبة الطول بين الكوكبين.
نظرا لتمدد الزمن فان المراقب الموجود في المركبة يجد أنه يقيس هذه المسافة في زمن t0 أقل من الزمن t. و في هذه الحالة سوف تكون المسافة بين الكوكبين هي L .
(1)
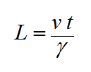
و بالتعويض من المعادلة (4) في المعادلة ( 5 ) نحصل على:
(2)
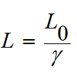
و حيث أن المقدار v t يمثل الطول الحقيقي (L0 )، فان المعادلة (2) تأخذ الشكل الآتي:
(3)
و حيث أن γ أكبر من الواحد فان الطول الظاهري (L) يكون أقل من الطول الحقيقي (L0) و هذا ما يسمى انكماش الطول.
إذن المسافر في قطار تصل سرعته إلى 0.8 من سرعة الضوء مثلا سوف يرى رصيف محطة القطار أقصر مما يراه الواقف على الرصيف و كذلك الواقف على الرصيف سوف يرى القطار أقصر مما يراه راكب القطار.
الاكثر قراءة في النظرية النسبية الخاصة
اخر الاخبار
اخبار العتبة العباسية المقدسة