
تاريخ الفيزياء

علماء الفيزياء


الفيزياء الكلاسيكية

الميكانيك

الديناميكا الحرارية


الكهربائية والمغناطيسية

الكهربائية

المغناطيسية

الكهرومغناطيسية


علم البصريات

تاريخ علم البصريات

الضوء

مواضيع عامة في علم البصريات

الصوت


الفيزياء الحديثة


النظرية النسبية

النظرية النسبية الخاصة

النظرية النسبية العامة

مواضيع عامة في النظرية النسبية

ميكانيكا الكم

الفيزياء الذرية

الفيزياء الجزيئية


الفيزياء النووية

مواضيع عامة في الفيزياء النووية

النشاط الاشعاعي


فيزياء الحالة الصلبة

الموصلات

أشباه الموصلات

العوازل

مواضيع عامة في الفيزياء الصلبة

فيزياء الجوامد


الليزر

أنواع الليزر

بعض تطبيقات الليزر

مواضيع عامة في الليزر


علم الفلك

تاريخ وعلماء علم الفلك

الثقوب السوداء


المجموعة الشمسية

الشمس

كوكب عطارد

كوكب الزهرة

كوكب الأرض

كوكب المريخ

كوكب المشتري

كوكب زحل

كوكب أورانوس

كوكب نبتون

كوكب بلوتو

القمر

كواكب ومواضيع اخرى

مواضيع عامة في علم الفلك

النجوم

البلازما

الألكترونيات

خواص المادة


الطاقة البديلة

الطاقة الشمسية

مواضيع عامة في الطاقة البديلة

المد والجزر

فيزياء الجسيمات


الفيزياء والعلوم الأخرى

الفيزياء الكيميائية

الفيزياء الرياضية

الفيزياء الحيوية

الفيزياء والفلسفة

الفيزياء العامة


مواضيع عامة في الفيزياء

تجارب فيزيائية

مصطلحات وتعاريف فيزيائية

وحدات القياس الفيزيائية

طرائف الفيزياء

مواضيع اخرى
Marking Sticks
المؤلف:
Sidney B. Cahn And Boris E. Nadgorny
المصدر:
A GUIDE TO PHYSICS PROBLEMS
الجزء والصفحة:
part 1 , p 33
13-7-2016
1828
Marking Sticks
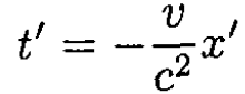
Observer O' is travelling with velocity v = 0.6c in the x direction relative to observer O. Each observer has a meter stick with one end fixed at his origin and the other end fixed at x (or x') = 1m (see Figure 1.1). Each stick has a marking device (such as a spring-loaded pin) at the high x (or

Figure 1.1
x') end, capable of marking the other stick if it overlaps that stick when the marking devices are triggered. The two origins coincide at t = t' = 0. Both marking devices are triggered at t = 0.
a) According to O, who has the shorter stick? Which stick is marked and where?
b) According O' to who has the shorter stick? Prove by explicit derivation that O' agrees on the result of the marking experiment, including the position of the mark.
SOLUTION
a) According to observer O, the O' stick is Lorentz–contracted:

where l0 is the length of the stick in its rest frame. So observer O believes that the stick in O' is shorter. In this frame, the marking devices are triggered simultaneously at t = 0 when the origins of the two frames coincide (see Figure 1.2a). As shown, the O stick will be marked at x = 0.8 m (in the O frame, the marking device of O' is at x = 0.8 m)
b) According to observer O' the O stick is Lorentz–contracted:

Figure 1.2a

Figure 1.2b
so that observer O' believes that the O stick is shorter. In frame O' ,the triggering of the devices (happening at t = 0 in frame O) is no longer simultaneous. Actually, the device in frame O' is triggered first, and that is why this observer agrees with the result found in (a) (see Figure 1.2b). Indeed, from the Lorentz transformation of time, we can obtain the time in O' when his device is triggered:

So

The point in the O frame corresponding to the mark is

the same result as in (a).
الاكثر قراءة في مواضيع اخرى
اخر الاخبار
اخبار العتبة العباسية المقدسة
الآخبار الصحية

قسم الشؤون الفكرية يصدر كتاباً يوثق تاريخ السدانة في العتبة العباسية المقدسة
"المهمة".. إصدار قصصي يوثّق القصص الفائزة في مسابقة فتوى الدفاع المقدسة للقصة القصيرة
(نوافذ).. إصدار أدبي يوثق القصص الفائزة في مسابقة الإمام العسكري (عليه السلام)