مجال شحنة نقطية متحركة بسرعة ثابتة
المؤلف:
د. حسون. ناظم احمد ، د. شاحوت. عياد مفتاح و د. ابراهيم. بثينة عبد المنعم
المصدر:
النظرية النسبية الخاصة
الجزء والصفحة:
ص228
27-4-2016
4183
مجال شحنة نقطية متحركة بسرعة ثابتة
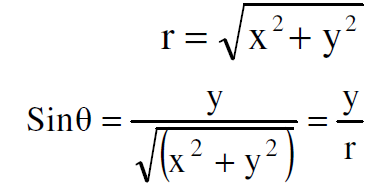
لنفرض وجود شحنة نقطية Q تتحرك بسرعة v باتجاه الاحداثي x الموجب وان هذه الشحنة في زمن t =0 كانت عند نقطة الاصل في محور الاسناد s كما موضح في الشكل (1.1a). بما ان الشحنة في حالة حركة لا يمكننا تطبيق قانون كولوم لحساب شدة المجال الكهربائي في أية نقطة في المستوى xy كالنقطة N(x, y) على بعد
من موقع الشحنة في تلك اللحظة. و لكي نستطيع تطبيق قانون كولوم علينا ان ننقل الحدث الى محور اسناد آخر وهو محور الاسناد sʹ الذي يتحرك بسرعة ثابتة v نسبة لمحور الاسناد s. ان المشاهد في هذا المحور يلاحظ ان الشحنة Q في حالة سكون، لاحظ الشكل (1.1b).

الشكل (1.1) : (a) شحنة نقطية Q متحركة باتجاه x في محور الاسناد s تولد مجالا كهربائيا E عند النقطة N(x, y). (b) ينقل الحدث الى sʹ فتكون الشحنة النقطية Q ساكنة ولكنها تولد مجالا كهربائيا Eʹ عند النقطة N (xʹ, yʹ).
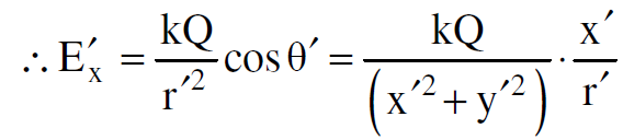
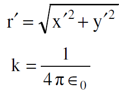
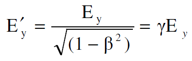
من الممكن الان تطبيق قانون كولوم لنحسب مركبتي المجال Eʹx و Eʹy عند النقطة N (xʹ, yʹ) على بعد ʹ
من موقع الشحنة الساكنة.

(1.1)
اذ ان :

حيث ان الثابت
هو سماحية الفراغ.
وبالمثل يمكننا ان نكتب :
(1.2)
اذا اردنا الان ان نحسب شدة المجال الكهربائي
ومركبتيه Ey, Ex ينبغي ان نستخدم تحويلات لورنس في زمن t =0 حيث يكون موقع الشحنة Q في نقطة الاصل في محور الاسناد s. وفي هذه الحالة تكتب تحويلات لورنس من s الى sʹ بالشكل :
(1.3)
وطبقا للمعادلتين
،
فان :
(1.4)
(1.5)
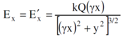
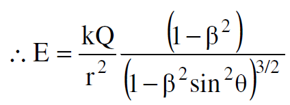
ولإيجاد محصلة شدة المجال الكهربائي
في محور الاسناد s نكتب :

(1.6)
اذ ان :

وينبغي ان نلاحظ في حالة السرع الواطئة (أي عندما تكون 1 >> β) فان المعادلة (1.6) تختزل الى الصيغة الآتية :

وهي النتيجة التي نحصل عليها عمليا عندما يطلب منا حساب المجال الكهربائي لشحنة نقطية ساكنة في محور الاسناد s في نقطة على بعد r من موقع تلك الشحنة.
الاكثر قراءة في النظرية النسبية الخاصة
اخر الاخبار
اخبار العتبة العباسية المقدسة