
تاريخ الفيزياء

علماء الفيزياء


الفيزياء الكلاسيكية

الميكانيك

الديناميكا الحرارية


الكهربائية والمغناطيسية

الكهربائية

المغناطيسية

الكهرومغناطيسية


علم البصريات

تاريخ علم البصريات

الضوء

مواضيع عامة في علم البصريات

الصوت


الفيزياء الحديثة


النظرية النسبية

النظرية النسبية الخاصة

النظرية النسبية العامة

مواضيع عامة في النظرية النسبية

ميكانيكا الكم

الفيزياء الذرية

الفيزياء الجزيئية


الفيزياء النووية

مواضيع عامة في الفيزياء النووية

النشاط الاشعاعي


فيزياء الحالة الصلبة

الموصلات

أشباه الموصلات

العوازل

مواضيع عامة في الفيزياء الصلبة

فيزياء الجوامد


الليزر

أنواع الليزر

بعض تطبيقات الليزر

مواضيع عامة في الليزر


علم الفلك

تاريخ وعلماء علم الفلك

الثقوب السوداء


المجموعة الشمسية

الشمس

كوكب عطارد

كوكب الزهرة

كوكب الأرض

كوكب المريخ

كوكب المشتري

كوكب زحل

كوكب أورانوس

كوكب نبتون

كوكب بلوتو

القمر

كواكب ومواضيع اخرى

مواضيع عامة في علم الفلك

النجوم

البلازما

الألكترونيات

خواص المادة


الطاقة البديلة

الطاقة الشمسية

مواضيع عامة في الطاقة البديلة

المد والجزر

فيزياء الجسيمات


الفيزياء والعلوم الأخرى

الفيزياء الكيميائية

الفيزياء الرياضية

الفيزياء الحيوية

الفيزياء والفلسفة

الفيزياء العامة


مواضيع عامة في الفيزياء

تجارب فيزيائية

مصطلحات وتعاريف فيزيائية

وحدات القياس الفيزيائية

طرائف الفيزياء

مواضيع اخرى
انتاج الباريونات والميزونات
المؤلف:
د. حسون. ناظم احمد ، د. شاحوت. عياد مفتاح و د. ابراهيم. بثينة عبد المنعم
المصدر:
النظرية النسبية الخاصة
الجزء والصفحة:
ص187
24-4-2016
3943
انتاج الباريونات والميزونات
لقد ظهرت اكتشافات جديدة عن طريق الصدفة، فعند قيام فريق من الباحثين بدراسة تطويل جوانب مختلفة تتعلق بأعمالهم قررت احدى فرق البحوث قصف الهيدروجين في حجرة الفقاعة بواسطة الميزونات (K−), (الكايونات السالبة)، التي تم توليدها لهذا الغرض بواسطة معجل البيفاترون، والشكل (1.1) يمثل إحدى الصور التي تم التقاطها لمعرفة الجسيمات المتكونة التي أمكن فصلها باستعمال سلسلة من المغانط ومميزات السرعة (مجالات كهربائية ومغناطيسية متقاطعة). ان حجرة الفقاعة وضعت في مجال مغناطيسي واخذت صور مجسمة للحوادث التي حصلت فيها، مما ساعد الباحثين على قياس الشحنة والزخم لجميع الجسيمات التي تضمنتها الحادثة بدرجة مقبولة.
وينبغي ان نضيف في هذا المجال ان دراسة كثافة الفقاعات في حزمة على مسار الجسيمات قد أعطى تقديرًا تقريبيًا لسرعة الجسيمات وساعد هذا على تمييز نوعية الجسيمات المتولدة. وتجدر الاشارة الى ان هذا العمل تم في مختبران بروكهيفن وتبين ان هذه الجسيمات تتكون من الباريونات
والميزونات (K0,π+,π-).

الشكل (1.1) : عملية قصف الهيدروجين في حجرة الفقاعة بواسطة الكايونات السالبة وقد تم فصل الجسيمات المتكونة باستخدام مجالات كهربائية مغناطيسية.
ولمناقشة انتاج الجسيمات الاولية على ضوء النظرية النسبية الخاصة سنوضح كيفية توليد ميزونات من نوع π+ مشحونة بشحنة موجبة بقصف ذرات الهيدروجين كهدف ساكن بواسطة بروتونات عالية الطاقة. وتكتب عملية التفاعل كالآتي :

البروتونان المتصادمان P2,P1 ينتج عنهما بروتون p ونيوترون N وبايون π+ كما موضح أعلاه. وبما ان البروتون والنيوترون لهما الكتلة الساكنة نفسها تقريبا فان طاقة السكون المطلوبة هي تلك العائدة للبايون وتساوي 140MeV.
ولكن اذا اعتبرنا البروتون P2 هو الهدف والذي يكون في حالة سكون وان البروتون الساقط P1 له زخم كبير، فان طاقة حركية كبيرة قد تبدد لإعطاء حركة للبروتون الساكن لذا لا يمكن استخدامها لتوليد جسيمات جديدة.
اما لو فرضنا ان P1 و P2 يمكن اعتبارهما جسيمين يتصادمان بزخمين متساويين في المقدار ومتعاكسين في الاتجاه فان الطاقة الحركية خلال التصادم تستخدم بأجمعها لتوليد الجسيمات المطلوبة.
إن عملية توليد حزم من جسيمات متصادمة في اتجاهين متعاكسين تعتبر أصعب من الناحية العملية (التقنية) من ان تستخدم حزمة واحدة من الجسيمات تضرب هدفًا ساكنًا.
الشكل (1.2) : (a) بروتونان يتحركان باتجاهين متعاكسين. الزخم الكلي قبل التفاعل يساوي صفرا. (b) ثلاثة جسيمات في حالة سكون تم توليدها بعد عملية التفاعل.
لنعتبر الان بروتونين يسيران باتجاهين متعاكسين في محور الاسناد sʹ حيث يكون الزخم الكلي خلال عملية التصادم يساوي صفرا لاحظ الشكل (1.2a). واذا فرضنا ان سرعة كل من البروتونين في حالة تصادم يساوي βc بالمقدار فان سرعة محور الاسناد sʹ باتجاه الاحداثي x الموجب يجب ان تكون مساوية الى βc نسبة الى محور الاسناد s الذي يشاهد فيه احد البروتونين في حالة سكون ويعتبر الهدف، والاخر يتحرك نحوه بسرعة ثابتة تساوي β1c وكما موضح في الشكل (1.3).

الشكل (1.3) : بروتون يتحرك نحو آخر مماثل في حالة سكون ويعتبر الهدف في s.
يلاحظ في محور الاسناد sʹ، بعد التصادم ان الجسيمات المتولدة جميعها في حالة سكون الشكل (1.2b). وهي حالة يكون فيها تبديد الطاقة أقل ما يمكن لتوليد هذا النوع من الجسيمات ولأنه لا تتولد طاقة حركية لا تصرف للغرض نفسه. نطبق الآن قانون حفظ الطاقة في محور الاسناد sʹ فيكون :
(1.1)
حيث ان ε تمثل الطاقة الكلية للنظام وان m0 كتلة السكون لأي من البروتون او النيوترون بغض النظر عن الاختلاف الطفيف في الكتلة و أن mπ كتلة السكون للبايون المشحون.
وبقسمة طرفي المعادلة الاخيرة على 2m0c2 نجد أن :
(1.2)
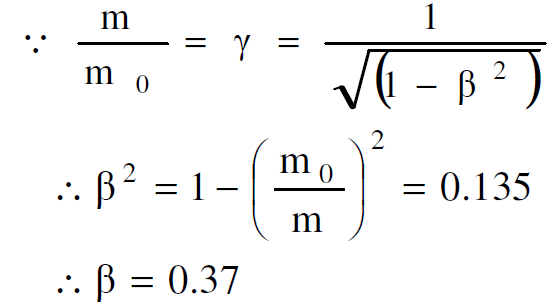
وبما ان :

حيث أن me الكتلة الساكنة للإلكترون فان :
أو

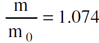
فيمكن اذن استخدام هذه القيمة الاخيرة لمعرفة تثبيت السرعة β لكل من البروتونين المتصادمين في محور الاسناد sʹ (محاور مركز الكتلة).

واذا كان البروتون p2 ساكنا في محور الاسناد s (المحاور المختبرية) فان محور الاسناد .. يجب ان يتحرك بسرعة β نسبة لمحور الاسناد s.
وهكذا نجد ان البروتون p1 ستكون له سرعة 1β في محور الاسناد s فيما كانت له سرعة مساوية الى β في محور الاسناد sʹ. وباستخدام تحويل السرع من sʹ الى s نجد أن :

ومن هذا نحصل على :

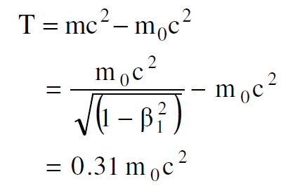
اذن الطاقة الحركية T اللازمة لتوليد البايون +π تكون مساوية الى :
وبما ان :

وهي اقل طاقة ممكنة لحدوث مثل هذا التفاعل. وهذه الطاقة أكبر قليلا من ضعف طاقة السكون العائدة للبايون. ان هذه الطاقة المحسوبة لتوليد البايون تسمى طاقة العتبة اللازمة لعملية التفاعل، فأية طاقة أقل من هذه القيمة تكون غير كافية لإنتاج مثل هذا النوع من الجسيمات، لذلك تستخدم بروتونات طاقتها اعلى بكثير من طاقة العتبة لضمان التفاعل.
الاكثر قراءة في النظرية النسبية الخاصة
اخر الاخبار
اخبار العتبة العباسية المقدسة
الآخبار الصحية

قسم الشؤون الفكرية يصدر كتاباً يوثق تاريخ السدانة في العتبة العباسية المقدسة
"المهمة".. إصدار قصصي يوثّق القصص الفائزة في مسابقة فتوى الدفاع المقدسة للقصة القصيرة
(نوافذ).. إصدار أدبي يوثق القصص الفائزة في مسابقة الإمام العسكري (عليه السلام)