Another Look at Constant Acceleration
المؤلف:
Professor John W. Norbury
المصدر:
ELEMENTARY MECHANICS & THERMODYNAMICS
الجزء والصفحة:
P23
6-3-2016
2656
Another Look at Constant Acceleration
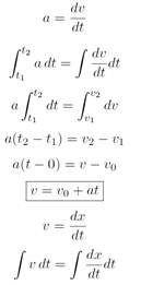
(This section is only for students who have studied integral calculus.) The constant acceleration equations can be derived from integral calculus as follows. For constant acceleration a ≠ a(x), a ≠ a(t)

v changes
cannot take outside integral
actually v(t) = v0 + at


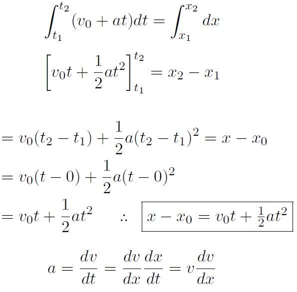
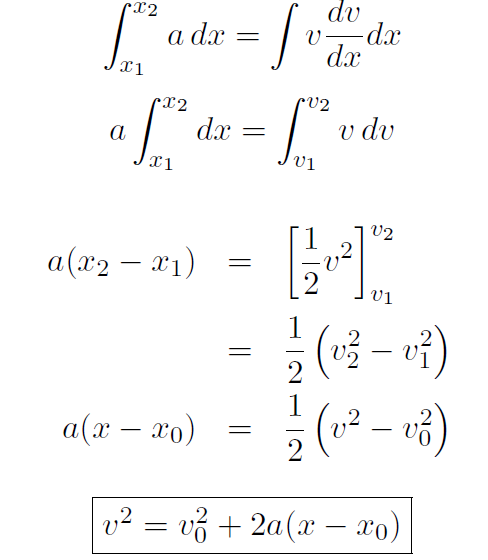
One can now get the other equations using algebra.
الاكثر قراءة في الميكانيك
اخر الاخبار
اخبار العتبة العباسية المقدسة