Average Velocity and Average Speed
المؤلف:
Professor John W. Norbury
المصدر:
ELEMENTARY MECHANICS & THERMODYNAMICS
الجزء والصفحة:
p14
6-3-2016
3364
Average Velocity and Average Speed
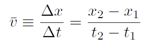
Average velocity is defined as the ratio of displacement divided by the corresponding time interval.
(1.1)
whereas average speed is just the total distance divided by the time interval,
(1.2)
A very important thing to understand is how to read graphs of position and time and graphs of velocity and time, and how to interpret such graphs. It is very important to understand how the average velocity is obtained from a position-time graph.
LECTURE DEMONSTRATION:
1) Air track glider standing still
2) Air track glider moving at constant speed.
Let's plot an x, t and v, t graph for
1) Object standing still,
2) Object at constant speed.
Note that the v, t graph is the slope of the x, t graph.
FIGURE 2.1 Position - time and Velocity - time graphs for (A) object standing still and (B) object moving at constant speed.
الاكثر قراءة في الميكانيك
اخر الاخبار
اخبار العتبة العباسية المقدسة