
تاريخ الفيزياء

علماء الفيزياء


الفيزياء الكلاسيكية

الميكانيك

الديناميكا الحرارية


الكهربائية والمغناطيسية

الكهربائية

المغناطيسية

الكهرومغناطيسية


علم البصريات

تاريخ علم البصريات

الضوء

مواضيع عامة في علم البصريات

الصوت


الفيزياء الحديثة


النظرية النسبية

النظرية النسبية الخاصة

النظرية النسبية العامة

مواضيع عامة في النظرية النسبية

ميكانيكا الكم

الفيزياء الذرية

الفيزياء الجزيئية


الفيزياء النووية

مواضيع عامة في الفيزياء النووية

النشاط الاشعاعي


فيزياء الحالة الصلبة

الموصلات

أشباه الموصلات

العوازل

مواضيع عامة في الفيزياء الصلبة

فيزياء الجوامد


الليزر

أنواع الليزر

بعض تطبيقات الليزر

مواضيع عامة في الليزر


علم الفلك

تاريخ وعلماء علم الفلك

الثقوب السوداء


المجموعة الشمسية

الشمس

كوكب عطارد

كوكب الزهرة

كوكب الأرض

كوكب المريخ

كوكب المشتري

كوكب زحل

كوكب أورانوس

كوكب نبتون

كوكب بلوتو

القمر

كواكب ومواضيع اخرى

مواضيع عامة في علم الفلك

النجوم

البلازما

الألكترونيات

خواص المادة


الطاقة البديلة

الطاقة الشمسية

مواضيع عامة في الطاقة البديلة

المد والجزر

فيزياء الجسيمات


الفيزياء والعلوم الأخرى

الفيزياء الكيميائية

الفيزياء الرياضية

الفيزياء الحيوية

الفيزياء والفلسفة

الفيزياء العامة


مواضيع عامة في الفيزياء

تجارب فيزيائية

مصطلحات وتعاريف فيزيائية

وحدات القياس الفيزيائية

طرائف الفيزياء

مواضيع اخرى
الرابطة الشاردية liaison Ionique
المؤلف:
الدكتور محمد انور بطل
المصدر:
الفيزياء الذرية والجزيئية
الجزء والصفحة:
ص 309
12-2-2022
2876
الرابطة الشاردية liaison Ionique
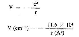
يقال أيضاً رابطة الكترون مشتركة liaison electrovalente والرابطة ناتجة عن التجاذب الكهرباني الساكن بين الشوارد الموجية والشوارد السالبة فمن أجل قيم كبيرة بصورة كافية للمسافة i يمكننا معالجة الشوارد كأنها شحن نقطية حيث يكون كمون التجاذب لهذه الشوارد:


الشكل (1)
والشكل (1) يبين كيف يتغير ااكمون مابين الحالة الشاردية (+B-+A) حيث نلاحظ بان الكمون المعرف ب V = e2/r يكون بعيد عن المقارب الأفقي حتى عندما تكون r كبيرة ونلاحظ على نفس الشكل الحالة الثانية (B + A) حيث أيضاً المنحني أفقي والكمون الكولوني معدوم. وعند قيم صغيرة ل r يظهر كمون تدافعي للحالة الشاردية وازواج الكمون التدافعي والتجاذبي يترجم بوجود نهاية صغرى شكل (2).
ينتج من ذلك بأن الحالة الشاردية دائماً مستقرة بينما الحالة المشتركة مستقرة أو غير مستقرة.
تعريف: يقال عن الجزئ شاردي إذا كانت حالته الأساسية هي حالة شاردية ويقال عن الجزئ (ذري) أو مشترك إذا كانت حالته الأساسية حالة ذرية أو مشركة .

الشكل (2)
الاكثر قراءة في الفيزياء الجزيئية
اخر الاخبار
اخبار العتبة العباسية المقدسة
الآخبار الصحية

قسم الشؤون الفكرية يصدر كتاباً يوثق تاريخ السدانة في العتبة العباسية المقدسة
"المهمة".. إصدار قصصي يوثّق القصص الفائزة في مسابقة فتوى الدفاع المقدسة للقصة القصيرة
(نوافذ).. إصدار أدبي يوثق القصص الفائزة في مسابقة الإمام العسكري (عليه السلام)