النمط الأول
النمط الثاني
الرئيسية
الأخبار
صور
فيديو
صوت
أقلام
مفتاح
رشفات
المشكاة
منشور
اضاءات
ثقف
قصص
علم الفيزياء
تاريخ الفيزياء
علماء الفيزياء
الفيزياء الكلاسيكية
الميكانيك
الديناميكا الحرارية
الكهربائية والمغناطيسية
الكهربائية
المغناطيسية
الكهرومغناطيسية
علم البصريات
تاريخ علم البصريات
الضوء
مواضيع عامة في علم البصريات
الصوت
الفيزياء الحديثة
النظرية النسبية
النظرية النسبية الخاصة
النظرية النسبية العامة
مواضيع عامة في النظرية النسبية
ميكانيكا الكم
الفيزياء الذرية
الفيزياء الجزيئية
الفيزياء النووية
مواضيع عامة في الفيزياء النووية
النشاط الاشعاعي
فيزياء الحالة الصلبة
الموصلات
أشباه الموصلات
العوازل
مواضيع عامة في الفيزياء الصلبة
فيزياء الجوامد
الليزر
أنواع الليزر
بعض تطبيقات الليزر
مواضيع عامة في الليزر
علم الفلك
تاريخ وعلماء علم الفلك
الثقوب السوداء
المجموعة الشمسية
الشمس
كوكب عطارد
كوكب الزهرة
كوكب الأرض
كوكب المريخ
كوكب المشتري
كوكب زحل
كوكب أورانوس
كوكب نبتون
كوكب بلوتو
القمر
كواكب ومواضيع اخرى
مواضيع عامة في علم الفلك
النجوم
البلازما
الألكترونيات
خواص المادة
الطاقة البديلة
الطاقة الشمسية
مواضيع عامة في الطاقة البديلة
المد والجزر
فيزياء الجسيمات
الفيزياء والعلوم الأخرى
الفيزياء الكيميائية
الفيزياء الرياضية
الفيزياء الحيوية
الفيزياء العامة
مواضيع عامة في الفيزياء
تجارب فيزيائية
مصطلحات وتعاريف فيزيائية
وحدات القياس الفيزيائية
طرائف الفيزياء
مواضيع اخرى
حركة الأنوية
المؤلف: الدكتور محمد انور بطل
المصدر: الفيزياء الذرية والجزيئية
الجزء والصفحة: ص 275
11-2-2022
1670
+
-
20
ان تابع الكمون في هذه الحالة هو بالشكل:
حيث الحد:
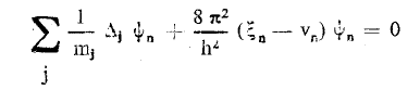
أخيراً يمكن كتابة معادلة شرودينغر من أجل حركة الأنوية بالعلاقة :
حيث التابع الموجي ψn هو يعتمد على احداثيات الأنوية والطاقة ζn ثابتة
حيث p هو العدد الكمي المميز للمسألة النواتيه ويجب أن لاننسى بأن ψn و ζn يتعلقان بالعدد الكمي p الإلكتروني.
الاطياف الجزيئية Molecular Spectra
التماثل الجزيئي Molecular Symmetry
التركيب الجزيئي Molecular Structure
المجهر الإلكتروني الماسح (Scanning Electron Microscope - SEM)
تهجين sp3
الحركة الدورانية للجزيئات الثنائية الذرة: الدوار الصلد
المتذبذب التوافقي The Harnonic Oscillator
طرق Ab Initio الحديثة: تقريب هارتري –فوك
الأطياف الدورانية
معادلة شرودنجر Schrodingor Equation
الآصرة الايونية ionic bond
تقريب بورن – اوبنهايمر Born-Oppenheimer Approximation
حل معادلة شرودنجر
الطاقة الجزيئية
المدارات الجزيئية للجزيئات الثنائية الذرة المتشابهة النوى
مجمع أبي الفضل العباس (عليه السلام) ينهي تحضيراته لاستقبال المشاركين في حفل تخرج طلبة الجامعات العراقية
السيد الصافي يكرّم المشاركين في الندوة العلمية بمناسبة اليوم العالمي للغة العربية
السيد الصافي يزيح الستار عن كتاب (شرح كتاب فروق اللغة للشيخ محمد علي آل عصفور)
الهيأة العليا لإحياء التراث تستذكر عددًا من العلماء الذين أسهموا في الاهتمام باللغة العربية ورعايتها
تحقيق أميركي في وفيات يحتمل ارتباطها بلقاحات كورونا ؟
اضطرابات الغذاء لدى الأم أثناء الحمل.. كيف تؤثر على الجنين؟
ماذا يحصل لجسمك عند التوقف عن تناول اللحوم؟
منها الخضروات المقرمشة.. 6 أطعمة تبدو صحية لكنها مضرة
سامسونغ تطلق هاتف "غالاكسي زد تراي فولد" في كوريا الجنوبية
هجمات "الزيرو كليك" تهدد الهواتف عالميا.. ماذا يمكن أن نفعل؟
"ناسا" تفقد الاتصال بمركبة "مافن" في مدار المريخ
طفرة قاتلة في حيوانات منوية من متبرع تصيب 200 طفل في أوروبا !
اشترك بقناتنا على التلجرام ليصلك كل ما هو جديد