تاريخ الفيزياء
علماء الفيزياء
الفيزياء الكلاسيكية
الميكانيك
الديناميكا الحرارية
الكهربائية والمغناطيسية
الكهربائية
المغناطيسية
الكهرومغناطيسية
علم البصريات
تاريخ علم البصريات
الضوء
مواضيع عامة في علم البصريات
الصوت
الفيزياء الحديثة
النظرية النسبية
النظرية النسبية الخاصة
النظرية النسبية العامة
مواضيع عامة في النظرية النسبية
ميكانيكا الكم
الفيزياء الذرية
الفيزياء الجزيئية
الفيزياء النووية
مواضيع عامة في الفيزياء النووية
النشاط الاشعاعي
فيزياء الحالة الصلبة
الموصلات
أشباه الموصلات
العوازل
مواضيع عامة في الفيزياء الصلبة
فيزياء الجوامد
الليزر
أنواع الليزر
بعض تطبيقات الليزر
مواضيع عامة في الليزر
علم الفلك
تاريخ وعلماء علم الفلك
الثقوب السوداء
المجموعة الشمسية
الشمس
كوكب عطارد
كوكب الزهرة
كوكب الأرض
كوكب المريخ
كوكب المشتري
كوكب زحل
كوكب أورانوس
كوكب نبتون
كوكب بلوتو
القمر
كواكب ومواضيع اخرى
مواضيع عامة في علم الفلك
النجوم
البلازما
الألكترونيات
خواص المادة
الطاقة البديلة
الطاقة الشمسية
مواضيع عامة في الطاقة البديلة
المد والجزر
فيزياء الجسيمات
الفيزياء والعلوم الأخرى
الفيزياء الكيميائية
الفيزياء الرياضية
الفيزياء الحيوية
الفيزياء العامة
مواضيع عامة في الفيزياء
تجارب فيزيائية
مصطلحات وتعاريف فيزيائية
وحدات القياس الفيزيائية
طرائف الفيزياء
مواضيع اخرى
طاقة التأثير المتبادل
المؤلف:
الدكتور محمد انور بطل
المصدر:
الفيزياء الذرية والجزيئية
الجزء والصفحة:
ص 185
7-2-2022
2214
طاقة التأثير المتبادل
سيدخل تصحيح على الطاقة Eo ذات المستوي J وذلك بأخذ بعين الاعتبار للتأثير المتبادل يبن العزم المغناطيسي والنووي والإلكترونات ، هذا التصحيح يأخذ الشكل :
'A ثابتة مميزة للمستوي J في الفقرة التالية سنناقش هذه الفرضية والي تفرض أن العزم النووي :
هذا العزم يتفاعل مع الحقل المغناطيسي Bo والذي هو مشترك خطي Colineaire مع J ، هذا الحقل ، عند مستوي النواة هو محصلة الحقل المغناطسي الناتج عن الحركة المدارية للإلكترون والحقل المغناطيسي الناتج عن ثنائي القطب المغناطيسي الذي هو العزم المغناطيسي السبيني .
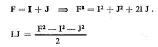
طاقة التأثير المتبادل تكتب. إذاً :
والفقرتين السابقتين تسمحان بدراسة مبسطة للتوضع النسبي لمستويات الطاقة ذات نفس J وذات قيم F المختلفة ، ولإيجاد ΔE لدينا :
وبالتالي فإن :
الاكثر قراءة في الفيزياء الذرية
اخر الاخبار
اخبار العتبة العباسية المقدسة

الآخبار الصحية
