0
EN
1
المرجع الالكتروني للمعلوماتية

تاريخ الفيزياء

علماء الفيزياء

الفيزياء الكلاسيكية

الميكانيك

الديناميكا الحرارية

الكهربائية والمغناطيسية

الكهربائية

المغناطيسية

الكهرومغناطيسية

علم البصريات

تاريخ علم البصريات

الضوء

مواضيع عامة في علم البصريات

الصوت

الفيزياء الحديثة

النظرية النسبية

النظرية النسبية الخاصة

النظرية النسبية العامة

مواضيع عامة في النظرية النسبية

ميكانيكا الكم

الفيزياء الذرية

الفيزياء الجزيئية

الفيزياء النووية

مواضيع عامة في الفيزياء النووية

النشاط الاشعاعي

فيزياء الحالة الصلبة

الموصلات

أشباه الموصلات

العوازل

مواضيع عامة في الفيزياء الصلبة

فيزياء الجوامد

الليزر

أنواع الليزر

بعض تطبيقات الليزر

مواضيع عامة في الليزر

علم الفلك

تاريخ وعلماء علم الفلك

الثقوب السوداء

المجموعة الشمسية

الشمس

كوكب عطارد

كوكب الزهرة

كوكب الأرض

كوكب المريخ

كوكب المشتري

كوكب زحل

كوكب أورانوس

كوكب نبتون

كوكب بلوتو

القمر

كواكب ومواضيع اخرى

مواضيع عامة في علم الفلك

النجوم

البلازما

الألكترونيات

خواص المادة

الطاقة البديلة

الطاقة الشمسية

مواضيع عامة في الطاقة البديلة

المد والجزر

فيزياء الجسيمات

الفيزياء والعلوم الأخرى

الفيزياء الكيميائية

الفيزياء الرياضية

الفيزياء الحيوية

الفيزياء والفلسفة

الفيزياء العامة

مواضيع عامة في الفيزياء

تجارب فيزيائية

مصطلحات وتعاريف فيزيائية

وحدات القياس الفيزيائية

طرائف الفيزياء

مواضيع اخرى

قم بتسجيل الدخول اولاً لكي يتسنى لك الاعجاب والتعليق.

دوار القمة الغير متماثل The Asymmetric Top

المؤلف:  الدكتور صلاح الدين محمود يونس

المصدر:  الفيزياء الجزيئية

الجزء والصفحة:  147

10-1-2021

2596

+

-

20

دوار القمة الغير متماثل The Asymmetric Top

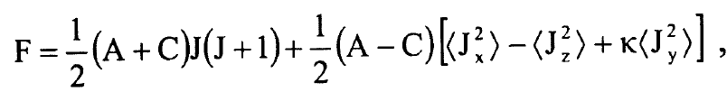
ان عزوم القصور الذاتي الثلاثة لدوار قمة غير متماثل غير متساوية بالمقدار وفي هذه الحالة يعطى المؤثر الهاملتوني الدوراني بالعلاقة:

..........(1)

ولا يمكن التعبير عن كما في حالة دوار القمة المتماثل ويجب تعيين الدوال الذاتية والقيم الذاتية للمؤثرين ولتحقيق ذلك نكتب الدوال الموجية المجهولة Ψ للمؤثر كمجمع خطي  للدوال الذاتية (Ψn = Ψn (J, K, M للدوار المتماثل:

.........(2)

ثم ندخلها في معادلة شرودنجر:

...........(3)

ويمكن التعبير عن مقياس عدم التماثل باعلومة عدم التماثل:

............(4)

ولدوار القمة المتطاول B = C وتكون قيمة اعلومة عدم التماثل κ = -1 ولدوار القمة المتماثل المسطح A = B وقيمة اعلومة عدم التماثل = 1  κ ويحصل اكبر عدم تماثل عندما κ = 0 و.

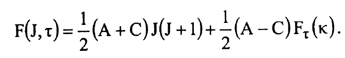
ومن المعادلة (1) نحصل على قيم الحد الطيفي الدورانية:

..........(5)

وبعد التعويض عن اعلومة عدم التماثل κ  في المعادلة (5) نحصل على:

...........(6)

والمعادلة (6) يمكن وضعها بالشكل:

.........(7)

وقد ادخلت الاعلومة τ لعد 2J+1 مستوى طاقة العائد الى نفس الزخم الزاوي الكلي J وفقا لمقدار طاقتهم وتاخذ القيم من J- الى J.

واذا رمزنا للقيمة المحددة للدوار المتطاول =-1 κ بالرمز Ka وللقيمة المحددة للدوار المفلطح =1κ بالرمز Kc يصبح التعبير عن الاعلومة τ بالشكل:

.........(8)

اذ يمكن ايجاد الدالة {Fτ(κ) = {J2x} - {J2z} + κ {J2y بحساب القيم المتوقعة {J2x},{J2y} و{J2z} باستخدام المعادلة (2) وفي شكل (1) مبين قيم الحد الطيفي لدوار قمة غير متماثل كدالة في اعلومة عدم التماثل k وتستخدم القيم المحددة Ka وKc كثيرا بدلا من τ لتمييز مستوى طاقة، فمثلا يمكن كتابة JKa, Kc = 31,3 او Jτ = 3-2.

الجدول (1)

من مخطط الارتباط في شكل (1) نرى ان عدم التماثل يؤدي الى انشطار كل الحالات المتساوية الطاقة لدوار القمة المتماثل لقيمة K ≠ 0 الى مركبتين وفي جدول (1) مبين قيم الحد الطيفي للأعداد الكمية الدورانية J 1.

لا توجد تعليقات بعد

ما رأيك بالمقال : كن أول من يعلق على هذا المحتوى

اشترك بقناتنا على التلجرام ليصلك كل ما هو جديد